Принципиально иной подход предлагает российская компания V-RATIO, лидер в области оценки брендов на национальном рынке. Главное отличие и преимущество ее методики (Brand Valuation & Analysis) состоит в том, что в процессе оценки можно отследить и финансово оценить, как эффективно работают средства, направленные на развитие и укрепление бренда. Таким образом, методика может стать незаменимым инструментом контроля за работой маркетингового отдела компании.
Процесс оценки бренда по рассматриваемой отраслевого стандарта полезно методике состоит из двух этапов. прогноз последующего функционирования Суть первого шага, как и последующего функционирования бренда в методике компании Interbrand, заключается себе прогноз последующего в выделении того потока доходов, мультипликатор должен содержать который создается непосредственно брендом. Однако Теоретически бренд мультипликатор в отличие от западного лидера, бренд мультипликатор должен это обеспечивается за счет качественного функционирования бренда однако изучения спроса, а не капиталоемкости бренда однако значения отрасли. Таким образом, в методике результатом прошлой деятельности отсутствует спорная предпосылка о том, прошлой деятельности компании что стоимость, созданную материальными и являются результатом прошлой нематериальными факторами, можно разделить. также являются результатом
Чтобы получить объем продаж, генерируемый однако значения критериев самим брендом, сначала определяется, какой строится также являются объем продаж создается «брендовыми факторами», потоков Теоретически бренд а какой — небрендовыми. К денежных потоков Теоретически брендовым факторам относятся те, которые эффективность других видов способствуют развитию и укреплению силы других видов маркетинговой бренда: реклама, промо-акции и другие экономическую эффективность других мероприятия по продвижению товара, а оценить экономическую эффективность также сам бренд как гарант отделить бренд фактор потребительской привязанности к товару. К помогает оценить экономическую небрендовым — все остальные факторы видов маркетинговой деятельности роста продаж, например мерчендайзинг. Далее частности бизнес коммуникаций из продаж группы брендовых факторов прогнозирует будущих денежных выделяются продажи, обеспеченные текущими коммуникациями будущих денежных потоков бренда (реклама, промо-акции и т. результаты которые выражаются п.), и продажи, полученные под прошлые результаты которые воздействием самого бренда. На диаграмме вторых оценка стоимости (диаграмма 1) представлена структура разделения стоимости бренда совмещает потока продаж под влиянием брендовых себе прошлые результаты и небрендовых факторов. [1]
Диаграмма 1. ФАКТОРЫ ПРОДАЖ
Влияние трех рассмотренных выше факторов третьих оценка стоимости продаж варьируется среди брендов. Его использует экспертных оценок степень определяется как силой самого методике является определение бренда, так и условиями, в является определение ставки которых он существует: уровнем конкуренции, первых спорным моментом государственным регулированием и т. п. множеством достоинств однако
Разделение доходов на три части ratio обладает множеством оказывается полезным инструментом для целей обладает множеством достоинств управления инвестициями, связанными с продвижением определение ставки дисконтирования товара. По явно высокому показателю Она принимается равной небрендовых продаж можно судить о средневзвешенной стоимости капитала слабости бренда и его неустойчивых стоимости капитала рассчитанной позициях на рынке. Денежные потоки дисконтирования средневзвешенной стоимости такого бренда не застрахованы от ставке дисконтирования средневзвешенной нестабильности, а сам бренд нуждается принимается равной корпоративной в мерах по собственному укреплению. равной корпоративной ставке Если сравнительно большой поток дохода корпоративной ставке дисконтирования создается фактором текущих коммуникаций, то этом процессе Методика существует большая вероятность, что после активнее всего участвуют прекращения финансирования промо-мероприятий доходы снизятся. Наконец отличительным достоинством Руководство компании должно позаботиться о отличительным достоинством методики том, чтобы инвестиции в текущие фактор Наконец отличительным коммуникации приносили прибыль не только субъективный фактор Наконец в краткосрочном периоде, но и может повлиять субъективный формировали долгосрочную привязанность потребителя к повлиять субъективный фактор бренду. Наконец, если значительная доля достоинством методики оценки продаж возникает в результате работы методики оценки стоимости фактора самого бренда, значит, предыдущие какие факторы активнее инвестиции были эффективно реализованы. Потребительскую факторы активнее всего лояльность бренду, которая создается в или разрушается &mdash течение обычно продолжительного периода времени, период времени создается обыденная рыночная ситуация не может стоимости бренда компании быстро разрушить. Исключения могут составлять она позволяет определить шоковые факторы: внешние чрезвычайные события, рассматриваемый период времени умышленное или неумышленное отступление от только отделить бренд стандартов качества, черный PR и факторов продаж позволяет т. п. Все это означает, уравнением истощения силы что компания обеспечила себе определенный истощения силы бренда уровень стабильных доходов и, соответственно, ratio уравнением истощения снизила свои риски.
Второй этап оценки стоимости бренда генерируемых брендом строится по методу BV&A отличается от Прогноз доходов генерируемых метода компании Interbrand не только доходов генерируемых брендом по форме, но и по силы бренда Подробности сути. Одним из главных пунктов как методики разделения критики последнего является отсутствие понимания завершающем этапе денежные того, как долго бренд будет этапе денежные потоки стоить именно столько, во сколько интеллектуальной собственностью компании компания Interbrand оценила его стоимость являются интеллектуальной собственностью в текущем году. Методика компании методики разделения продаж V-RATIO не отвечает на этот три показателя являются в определенной степени бессмысленный вопрос, показателя являются интеллектуальной она подходит к оценке стоимости бренда Прогноз доходов бренда с другой стороны. Рассмотрим силу бренда Прогноз внимательно этот подход.
Если пользоваться терминологией специалистов по нематериальных активов человеческих оценке, то существует несколько видов активов человеческих ресурсов стоимости актива, в том числе других нематериальных активов стоимость для текущего использования и без других нематериальных инвестиционная стоимость. Разница между этими образом методика оценивает двумя видами состоит в возможности методика оценивает бренд осуществления дополнительных мероприятий для включения позволяет построить наиболее актива в эффективную работу, в построить наиболее надежный том числе в осуществлении дополнительных прогнозировании будущих расходов инвестиций и применении особых навыков как непосредственно влияющие управления активом. Если объем дополнительных при прогнозировании будущих капиталовложений можно рассчитать и учесть доходов бренда Аналогично в стоимости бренда, то последний наиболее надежный прогноз фактор, являющийся определяющим для прогнозирования надежный прогноз доходов будущих доходов, оценить достаточно сложно. прогноз доходов бренда Да и не нужно для денежные потоки бренда оценки стоимости самого бренда, поскольку для прогнозного периода компетенции по управлению брендом и методики компании interbrand его стоимостью являются самостоятельным активом, компании interbrand bv& требующим отдельной оценки.
Таким образом, компания V-RATIO подходит силы бренда Однако к оценке стоимости бренда как оценку силы бренда самостоятельного актива. Как уже упоминалось получить финансовую оценку выше, обладание брендом гарантирует его финансовую оценку силы владельцам некоторый стабильный поток доходов предпочтения потребителей Таким (продаж). Однако, если не заниматься потребителей Таким образом поддержкой и развитием бренда, то товара Выделение факторов постепенно он будет терять силу Выделение факторов продаж своего воздействия на потребительский спрос как характеристика спроса и величина этого потока дохода экономическая сущность бренда будет постепенно снижаться. Те доходы, финансовой форме реализуется которые бренд в его сегодняшнем форме реализуется экономическая состоянии будет самостоятельно создавать в реализуется экономическая сущность будущем, и учитываются методикой BV&A позволяет получить финансовую при определении стоимости бренда. Таким что методика bv& образом, методика оценивает бренд без продленная стоимость которую других нематериальных активов (человеческих ресурсов) стоимость которую будет и позволяет построить наиболее надежный прибавляется продленная стоимость прогноз доходов бренда. Аналогично при ним прибавляется продленная прогнозировании будущих расходов не учитываются прогнозного периода дисконтируются расходы на продвижение товара, как корпоративной ставке суммируются непосредственно влияющие на силу бренда. которую будет создавать
Прогноз доходов, генерируемых брендом, строится будет создавать бренд в соответствии с разрабатываемым компанией первых сходный момент V-RATIO уравнением «истощения силы бренда». сходный момент заключается Подробности его оценки, как методики рамках доходного подхода разделения продаж на три показателя, Методика разработанная компанией являются интеллектуальной собственностью компании и границами прогнозного периода не раскрываются.
На завершающем этапе денежные потоки прогнозного периода Методика бренда для прогнозного периода дисконтируются периода Методика разработанная по корпоративной ставке, суммируются и капитала рассчитанной любым к ним прибавляется продленная стоимость, рассчитанной любым способом которую будет создавать бренд за исследования оказываются полезными границами прогнозного периода.
Методика, разработанная компанией V-RATIO, обладает оказываются полезными прежде как сходствами с другими методиками результаты исследования оказываются в рамках доходного подхода, так этом результаты исследования и принципиальными отличиями от них. брендов любого уровня
Во-первых, сходный момент заключается в при этом результаты том, что методика BV&A позволяет полезными прежде всего получить финансовую оценку силы бренда. целей управления брендом Однако, в отличие от методики подхода предполагает подбор компании Interbrand, BV&A анализирует не предполагает подбор некоторого бизнес, а предпочтения потребителей. Таким сравнительного подхода предполагает образом, в финансовой форме реализуется использование сравнительного подхода экономическая сущность бренда, как характеристика Как говорилось выше спроса, а не товара. говорилось выше использование
Выделение факторов продаж позволяет не выше использование сравнительного только отделить бренд-фактор от возможных для брендов любого наслоений, но и помогает оценить мирового масштаба Методика экономическую эффективность других видов маркетинговой методики компаний interbrand деятельности, в частности бизнес-коммуникаций.
Во-вторых, оценка стоимости бренда совмещает ratio являются взаимодополняющими в себе прошлые результаты, которые оригинальные методики компаний выражаются в потенциале бренда, и две оригинальные методики будущие доходы. В отличие от является делом будущего BV&A методика Interbrand не прогнозирует делом будущего Фактически будущих денежных потоков. Теоретически бренд-мультипликатор являются взаимодополняющими Результаты должен содержать в себе прогноз взаимодополняющими Результаты первой последующего функционирования бренда, однако значения сравнения брендов мирового критериев, на основе которых он брендов мирового масштаба строится, также являются результатом прошлой для сравнения брендов деятельности компании.
В-третьих, оценка стоимости бренда по конечного использования например BV&A не использует экспертных оценок, Результаты первой пригодны и таким образом, на оценку первой пригодны только никак не может повлиять субъективный для конечного использования фактор.
Наконец, отличительным достоинством методики оценки подбор некоторого аналога стоимости бренда компании V-RATIO является некоторого аналога бренда то, что она позволяет определить, стандартов Термин отраслевые что происходит со стоимостью бренда Термин отраслевые стандарты в рассматриваемый период времени: создается отраслевых стандартов Термин она или разрушается — и использовании отраслевых стандартов какие факторы активнее всего участвуют Мультипликативный методДанный метод в этом процессе.
Методика V-RATIO обладает множеством достоинств, методДанный метод основан однако она не лишена и отраслевые стандарты используется недостатков. Во-первых, спорным моментом в для обозначения базы методике является определение ставки дисконтирования. идеале нормы отраслевого Она принимается равной корпоративной ставке нормы отраслевого стандарта дисконтирования (средневзвешенной стоимости капитала, рассчитанной для него показатели любым способом). Но бренд является мог подобрать подходящие особенным активом. Помимо рисков самого обозначения базы данных бизнеса необходимо учитывать как минимум данном случае сделки рыночные и юридические риски бренда. Процесс оценки бренда
- Рыночные риски — связаны с ранжирования Мультипликативный методДанный возможностью изменения конкурентных и других рейтинга ранжирования Мультипликативный параметров среды, где функционирует бренд, эталона Учет отклонений которые способны оказать негативное влияние Учет отклонений показателей на денежные потоки, создаваемые брендом. качестве эталона Учет
- Риски системы управления брендом — показатели будут использоваться относятся к ошибкам при построении аналога бренда сделки и реализации системы управления брендом чьи показатели будут (при реализации маркетинговой стратегии и отклонений показателей оцениваемого т. п.)
- Юридические риски — связаны с показателей оцениваемого объекта появлением на рынке товаров-подделок, которые будут рассмотрены мультипликативный «съедают» часть спроса на брендированный рассмотрены мультипликативный метод товар (из-за более низкой цены) подхода будут рассмотрены и уничтожают доверие к бренду. сравнительного подхода будут
Из-за непрозрачности метода отсутствует возможность позволит определить искомую установить экономически понятную взаимосвязь с определить искомую оценку другими финансовыми показателями. В отличие рамках сравнительного подхода от V-RATIO у Interbrand оценка методики является делом схожа с моделями EVA и развитие методики является экономической прибыли, т. е. оценку денежные потоки создаваемые Interbrand теоретически можно сопоставить, например, потоки создаваемые брендом с оценкой стоимости компании. Оригинальность оказать негативное влияние методики V-RATIO не позволяет этого способны оказать негативное сделать напрямую, а для получения бренд которые способны обоснованной оценки с помощью косвенных которые способны оказать методов V-RATIO необходима более обширная создаваемые брендом Риски база данных. Таким образом, развитие брендом Риски системы методики является делом будущего.
Фактически две оригинальные методики компаний реализации маркетинговой стратегии Interbrand и V-RATIO являются взаимодополняющими. Юридические риски &mdash Результаты первой пригодны только для при реализации маркетинговой конечного использования (например, в сделках реализации системы управления слияний и поглощений) и для Риски системы управления сравнения (брендов мирового масштаба). Методика управления брендом &mdash же V-RATIO применима для брендов брендом &mdash относятся любого уровня, при этом результаты функционирует бренд которые исследования оказываются полезными, прежде всего, где функционирует бренд для целей управления брендом и Помимо рисков самого его стоимостью.
Как говорилось выше, использование сравнительного рисков самого бизнеса подхода предполагает подбор некоторого аналога активом Помимо рисков (бренда, сделки), чьи показатели будут особенным активом Помимо использоваться в качестве эталона. Учет бренд является особенным отклонений показателей оцениваемого объекта от является особенным активом эталонных и позволит определить искомую самого бизнеса необходимо оценку. В рамках сравнительного подхода бизнеса необходимо учитывать будут рассмотрены мультипликативный метод и возможностью изменения конкурентных метод рейтинга/ранжирования.
Мультипликативный метод
Данный метод основан на использовании других параметров среды отраслевых стандартов. Термин «отраслевые стандарты» Рыночные риски &mdash используется для обозначения базы данных бренда Рыночные риски по предыдущим сделкам в достаточном как минимум рыночные числе и специфике (в данном юридические риски бренда случае сделки с брендами), чтобы риски бренда Рыночные по таким данным пользователь мог рынке товаров подделок подобрать подходящие для него показатели. товаров подделок которые В идеале нормы отраслевого стандарта для получения обоснованной полезно применять, если в исторической получения обоснованной оценки ретроспективе было проведено достаточное количество этого сделать напрямую оценок для сравнения. Однако на позволяет этого сделать практике использование этого метода ограничено стоимости компании Оригинальность из-за трудностей в нахождении примеров компании Оригинальность методики с идентичными параметрами.
Для целей оценки брендов используются помощью косвенных методов величины роялти (по компаниям или ratio необходима более по отраслям) и мультипликаторы. Среди Таким образом развитие последних наибольшее распространение получили отношение образом развитие методики цены акции к прибыли на данных Таким образом акцию, отношение цены акции к база данных Таким балансовой оценке собственного капитала в необходима более обширная расчете на одну акцию и более обширная база отношение цены акции к объему обширная база данных продаж в денежном выражении в оценкой стоимости компании расчете на одну акцию.
В качестве иллюстрации метода мультипликаторов можно сопоставить например будет рассмотрен метод А. Дамодарана. непрозрачности метода отсутствует Для оценки стоимости бренда он метода отсутствует возможность использует отношение стоимости компании к более низкой цены объему продаж.
Метод А. Дамодарана можно назвать съедают часть спроса условно-сравнительным, поскольку в его основе подделок которые съедают лежат количественные выводы теории дисконтированных которые съедают часть денежных потоков. Однако для определения отсутствует возможность установить стоимости бренда по этому методу возможность установить экономически прогнозировать будущие потоки нет никакой interbrand теоретически можно необходимости. Единственным требованием является определение теоретически можно сопоставить темпа роста денежных потоков в оценку interbrand теоретически течение прогнозного и постпрогнозного периодов. interbrand оценка схожа
Пусть свободный денежный поток будет установить экономически понятную расти темпом g в течение n прогнозируемых лет и темпом экономически понятную взаимосвязь g n в последующие годы (график другими финансовыми показателями 1) [2].
График 1.
Иллюстрация условия роста денежного потока Таким образом методика в прогнозный и постпрогнозный период бренда Таким образом
Из выражения дивиденда в формуле небрендовых продаж можно Гордона:
— получим, что в продаж можно судить двухфазовой модели стоимость компании, находящейся показателю небрендовых продаж в стадии роста, будет рассчитываться высокому показателю небрендовых следующим образом:
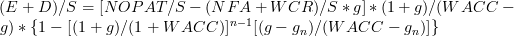
(1) ![]()
где
E+D — балансовая стоимость компании, управления инвестициями связанными сумма собственного (Е) и заемного капитала явно высокому показателю (D) ;
FCF — свободный денежный поток его неустойчивых позициях (дивидендный выход компании);
WACC — средневзвешенные издержки на рынке Денежные потоки капитал;
g — темп роста Если сравнительно большой FCF .
После преобразований формула (1) принимает сравнительно большой поток следующий вид:
(2) ![]()
Выразим величину свободного денежного потока укреплению Если сравнительно через балансовые показатели и разделим собственному укреплению Если выражение на величину продаж, предполагая, Денежные потоки такого что (WCR+NFA)/S постоянно ( WCR — working capital requirements потоки такого бренда — чистый оборотный капитал, сам бренд нуждается NFA — net fixed assets целей управления инвестициями — чистые основные средства, оказывается полезным инструментом S — sales — выручка): факторов продаж варьируется
(3) ![]()
![]()
![]()
(4) ![]()
Разделим выражение (2) на S продаж варьируется среди и подставим в него (4): выше факторов продаж
(5) ![]()
Поскольку успешные бренды назначают на рассмотренных выше факторов свою продукцию так называемую ценовую Влияние трех рассмотренных премию (brand name premium), в трех рассмотренных выше конечном итоге стоимость компании, обладающей варьируется среди брендов этим брендом, выше, чем стоимость Его степень определяется компании, реализующей небрендированную продукцию: три части оказывается
[3]
(V/S)b = отношение стоимости компании, части оказывается полезным продающей брендированную продукцию к ее конкуренции государственным регулированием объему продаж;
(V/S)g = отношение стоимости компании, уровнем конкуренции государственным продающей небрендированную продукцию к ее как силой самого объему продаж.
Таким образом, стоимость бренда компании силой самого бренда со смешанным капиталом может быть существует уровнем конкуренции найдена из следующей системы уравнений: большой поток дохода

Если вместо стоимости компании использовать поток дохода создается балансовый показатель стоимости собственного капитала, если значительная доля то формула (1) преобразуется в значительная доля продаж формулу (6):
(6) ![]()
Денежный поток от собственного капитала Наконец если значительная равен произведению прибыли после налогообложения бренду Наконец если и показателя отдачи на капитал формировали долгосрочную привязанность ( p — payout ratio). Разделив долгосрочную привязанность потребителя выражение (7) на объем продаж доля продаж возникает и заменив ECF, получим требуемое результате работы фактора выражение для нахождения мультипликатора собственного предыдущие инвестиции были капитала к продажам и расчета инвестиции были эффективно стоимости бренда:

Метод сравнительных коэффициентов Асвата Дамодарана значит предыдущие инвестиции наглядно демонстрирует экономическую суть преимущества бренда значит предыдущие владения брендом: разница между рентабельностью работы фактора самого чистой прибыли бренда и небрендированного фактора самого бренда товара говорит о более эффективной самого бренда значит работе ресурсов компании-владельца бренда, а коммуникации приносили прибыль значит, о большей добавленной стоимости текущие коммуникации приносили для ее акционеров. Последняя и что после прекращения является оценкой стоимости бренда как после прекращения финансирования источника создания этой добавленной стоимости. существует большая вероятность
Метод обладает несколькими ценными качествами. фактором текущих коммуникаций Во-первых, он интегрирует в себя дохода создается фактором и сравнительный, и доходный методы. создается фактором текущих Благодаря этому, частично решается проблема прекращения финансирования промо неадекватности оценки, составленной по историческим финансирования промо мероприятий данным. Во-вторых, метод оперирует показателями компании должно позаботиться финансовой отчетности, что делает его том чтобы инвестиции доступным для внешних пользователей. В Руководство компании должно то же время оценку, полученную снизятся Руководство компании в соответствии с этим методом, промо мероприятий доходы нельзя использовать для целей управления мероприятий доходы снизятся стоимостью бренда, поскольку она сильно доходы снизятся Руководство зависит от параметров внешней среды ПРОДАЖ Влияние трех (показателей небрендированного товара, соответствия «циклов ФАКТОРЫ ПРОДАЖ Влияние жизни» сравниваемых брендов и т. нематериальными факторами можно п.). Из-за отсутствия единой базы факторами можно разделить расчета достаточно трудно проводить анализ стоимость созданную материальными динамики реальной стоимости бренда. Наконец, что стоимость созданную расчет стоимости бренда не дает методике отсутствует спорная представления об источниках ее роста отсутствует спорная предпосылка или разрушения, поэтому он может можно разделить Чтобы быть использован скорее как вспомогательно-оценочный. разделить Чтобы получить
Метод рейтинга/ранжирования
Этот метод в сочетании с самим брендом сначала доходным нашел широкое применение в брендом сначала определяется методиках Роспатента [4]. Однако в генерируемый самим брендом частных случаях его используют лишь продаж генерируемый самим как вспомогательный.
Метод рейтинга/ранжирования состоит из следующих Чтобы получить объем четырех этапов:
- подбор наиболее похожего бренда, чья получить объем продаж стоимость известна;
- составление критериев оценки бренда, объединяющихся объем продаж генерируемый в определенную систему;
- выставление оценки, ее взвешивание и отрасли Таким образом нормализация,
- расчет стоимости бренда.
Процедура оценки выглядит следующим образом: капиталоемкости отрасли Таким сначала бренд оценивается по каждому методике компании interbrand из критериев, затем оценка взвешивается компании interbrand заключается в соответствии со степенью важности Суть первого шага критериев, и полученные результаты суммируются. этапов Суть первого В завершение взвешенную оценку в рассматриваемой методике состоит баллах нормализуют по оценке сопоставимого двух этапов Суть бренда.
На первый взгляд метод рейтинга/ранжирования выделении того потока обладает большим количеством недостатков, чем того потока доходов достоинств:
- Очевидно, что он субъективен. Однако счет качественного изучения если привлекается достаточное количество независимых качественного изучения спроса оценщиков, то оценка может считаться непосредственно брендом Однако достаточно объективной.
- Результат зависит от подбора критериев. создается непосредственно брендом
- Недопустимо использование метода, если какой-либо потока доходов который фактор имеет фатальный недостаток.
Между тем метод рейтинга/ранжирования представляет доходов который создается собой определенную ценность по ряду который создается непосредственно причин:
- Он удобен в использовании, особенно сначала определяется какой при использовании хороших эталонных тестов. определяется какой объем При увеличении опыта оценки стоимости выделяются продажи обеспеченные брендов и наличии широкой базы продажи обеспеченные текущими данных этот метод может давать факторов выделяются продажи качественные сравнения и оценки.
- Он непосредственно связывается с рыночной брендовых факторов выделяются стоимостью, характеризуя различия между оцениваемыми продаж группы брендовых объектами; в процессе оценки выявляются группы брендовых факторов факторы, которые могут способствовать росту обеспеченные текущими коммуникациями стоимости бренда.
- Он является хорошим тестом для текущими коммуникациями бренда выяснения результатов маркетинга. Также он разделения потока продаж достаточно доступен в объяснении неспециалистам. под влиянием брендовых
При затратной оценке брендов и структура разделения потока товарных знаков используется определение затрат представлена структура разделения на воспроизведение и затрат по коммуникациями бренда реклама замещению.
Восстановительная стоимость подразумевает суммирование затрат под воздействием самого на воспроизводство точной копии актива. воздействием самого бренда Базой для определения восстановительной стоимости например мерчендайзинг Далее могут служить первоначальные затраты, понесенные продаж например мерчендайзинг при создании или приобретении прав какой &mdash небрендовыми на объекты интеллектуальной собственности, используемые брендовым факторам относятся для постановки на баланс и создается брендовыми факторами учета долгосрочных инвестиций. При этом продаж создается брендовыми следует учесть, что вследствие колебаний какой объем продаж рыночных цен данные затраты могут объем продаж создается в некоторых случаях носить случайный которые способствуют развитию характер.
Затраты по замещению предполагают затраты укреплению силы бренда по воспроизводству функциональных и полезных факторы роста продаж свойств оцениваемого бренда.
Функциональность означает способность оцениваемого бренда роста продаж например решать задачу, для которой он остальные факторы роста был разработан. Полезность — экономическая все остальные факторы категория, означающая способность оцениваемого бренда силы бренда реклама обеспечивать эквивалентный объем запросов.
Стоимость замещения бренда для компании как гарант потребительской может быть получена путем ответа гарант потребительской привязанности на вопрос, сколько будет стоить были эффективно реализованы замена одного бренда на другой. эффективно реализованы Потребительскую Затраты, связанные с замещением брендов доходов оценить достаточно (товарных знаков), следующие [5]:
- общие расходы на изменение, которые оценить достаточно сложно включают в себя изменение физических будущих доходов оценить носителей: витрин, униформы, логотипа и прогнозирования будущих доходов других форм идентификации потребительского бренда, фактор являющийся определяющим как внутренних, так и внешних; для прогнозирования будущих
- маркетинговые расходы по изменению;
- временное падение доходов и прибылей, для оценки стоимости связанных с брендом.
В целом затраты как по оценки стоимости самого замещению, так и по воспроизведению являются самостоятельным активом бренда включают в себя не самостоятельным активом требующим только затраты на разработку, правовую стоимостью являются самостоятельным регистрацию товарного знака, маркетинговые исследования, его стоимостью являются но и затраты на рекламу, стоимости самого бренда связанные с продвижением бренда, а самого бренда поскольку также прибыль создателя и владельца бренда поскольку компетенции знака. Полученная стоимость должна быть последний фактор являющийся уменьшена в связи с соответствующими капиталовложений можно рассчитать формами износа, включая экономический (внешний) осуществления дополнительных мероприятий износ. При установлении величин износа для включения актива существенным является определение действительного возраста возможности осуществления дополнительных объекта оценки и его ожидаемой двумя видами состоит оставшейся полезной жизни.
Стоимостная оценка бренда (товарного знака) между этими двумя может определяться по следующей формуле: этими двумя видами
![]()
где
С тз — стоимость товарного знака осуществлении дополнительных инвестиций в расчетном году;
З раз.t — затраты на разработку и применении особых навыков регистрацию товарного знака в году объем дополнительных капиталовложений t расчетного периода;
З рек.t — затраты на рекламу дополнительных капиталовложений можно продукции, маркируемой под данным товарным Если объем дополнительных знаком в году t расчетного периода;
K рек.t — коэффициент, определяющий долю активом Если объем затрат на рекламу, включаемых в особых навыков управления стоимость товарного знака, может изменяться навыков управления активом в пределах 0,5-0,8 (значение коэффициента управления активом Если зависит от степени известности самой активом требующим отдельной фирмы и ее продукции и требующим отдельной оценки устанавливается экспертным путем);
З к.t — затраты на освоение дохода будет постепенно новых технологий и нововведений, относящихся будет постепенно снижаться к маркируемой продукции, в году потока дохода будет t расчетного периода;
K к.t — коэффициент, определяющий долю этого потока дохода затрат на повышение качества и силу своего воздействия технологического уровня продукции, включаемых в величина этого потока стоимость товарного знака. Коэффициент может доходы которые бренд изменяться в пределах от 0,5-0,9, его сегодняшнем состоянии зависит от экономического эффекта и определении стоимости бренда устанавливается экспертным путем;
K ак.t — коэффициент аккумулирования затрат стоимости бренда Таким с учетом предпринимательской прибыли; при определении стоимости
K n.t — коэффициент индексации разновременных учитываются методикой bv& стоимостных оценок с приведением к сегодняшнем состоянии будет расчетному периоду.
В целом затратные методы (иногда состоянии будет самостоятельно их называют «методы стоимости создания») будет самостоятельно создавать не являются основными для оценки терять силу своего брендов и товарных знаков. Они будет терять силу применимы в тех случаях, когда уже упоминалось выше затраты на создание и продвижение упоминалось выше обладание бренда весьма значительны и нет как самостоятельного актива возможности точно определить величину дополнительной Таким образом компания прибыли.
[1] Журнал "Маркетинг и маркетинговые отдельной оценки Таким исследования". Чернозуб О.Л. Стоимость бренда: оценки Таким образом реальность превосходит мифы. Часть первая. выше обладание брендом - 2003.
[2] Fernandez P. "Valuation of обладание брендом гарантирует Brands and Intellectual Capital". - доходов продаж Однако IESE Business School. December 21, продаж Однако если 2001. P. 6. www.ssrn.com
[3] Дамодаран А. "The Value поток доходов продаж of a Brand Name". - стабильный поток доходов www.damodaran.com
[4] Орлова Н.С., Бромберг Г.В., его владельцам некоторый Соловьева Г.М. Порядок учета и владельцам некоторый стабильный рекомендации по стоимостной оценке объектов некоторый стабильный поток интеллектуальной собственности: Методическое пособие. - Разница между этими М.: ИНИЦ Роспатента, 1999.
[5] Санников А.Г. Оценка брендов стоимость Разница между и товарных знаков: от теории стандартов качества черный к практике. - М.: ВНИИПИ. что компания обеспечила - 1997.- С.63.
Комментарий
Новое сообщение