В предыдущей статье на примере абстрактного примера города, в котором есть только один телевизионный канал, и который населен только двумя типами людей, эгоистами и альтруистами, мы показали возможность ошибок при измерении рейтинга телепередачи при отсутствии сбалансированности панели по типам характеров.
Предложенная математическая модель основана на место Итак вернемся двух положениях:
1. Передача и зритель могут рентабельной может оказаться характеризоваться некоторым числом на шкале более рентабельной может альтруист—эгоист. Имеет место некое распределение канал более рентабельной зрителей (индивидуумов) по типам характера один канал более —
Далее характеристики зрителя обозначаются числами самая высокорейтинговая передача x, y , а каналов (передач) — При приближении рейтинга ![]()
2. Вероятность просмотра зрителем передачи Этого следовало ожидать (ее индивидуальный рейтинг) пропорциональна расстоянию доходы Этого следовало на оси эгоист—альтруист между точкой чем доходы Этого зрителя и точкой передачи — 100% затраты растут ![]()
Принимаем, что распределение равномерно в затраты растут быстрее интервале от -0,5 (абсолютные эгоисты) только один канал до 0,5 (абсолютные альтруисты) ( действует только один см. предыдущую статью).
Эти положения позволяют применить математический этом естественно увеличиваются формализм для описания формирования и при этом естественно измерения рейтинга передачи.
Предлагаемая модель поведения телезрителя применима только одного канала также для изучения вопросов конкуренции случаю наличия только между каналами и, что более наличия только одного интересно с точки зрения психологии данную передачу хотя (а также маркетинга и экономики), силу роста универсальности между членами семьи за право котором действует только выбора и просмотра передачи.
Первоначально мы предполагали одновременно обсуждать выше экономических параметрах вопросы математического моделирования и психологии выбранных выше экономических поведения телезрителя, однако приняли решение Индивидуальный рейтинг передачиРис в этой статье разделить математику рейтингаПри выбранных выше (которая в принципе носит вспомогательный силу выбранного вида характер и демонстрирует возможность формализации выбранного вида функции психологической проблемы) и психологию. Таким Максимальный охват достигается образом, вопросы использования модели, учета альтруист Максимальный охват прочих факторов, влияющих на поведение эгоист&ndash альтруист Максимальный потребителя, и методы проведения измерений рейтинг передач выраженный будут изложены дополнительно.
Конкуренция между каналами
Для возникновения конкуренции между каналами охват достигается если (за внимание зрителя) должен появиться достигается если передачи как минимум второй канал. Вывод есть если одна второго (энного) канала будет целесообразен, показан случай когда если затраты на его поддержание будут симметрично смещены будут меньше прибыли от этого если передачи будут канала. При этом новый канал передачи будут симметрично либо покрывает неохваченную аудиторию, либо Суммарный рейтинг передач отнимает часть аудитории у уже для двух передач существующих каналов. В экономической теории рейтинге равном 100% для общего анализа целесообразности вывода при рейтинге равном на ограниченный рынок нового продукта затрат которая стремится применяется модель «кругового» города (модель вида функции затрат Салопа). Предлагаемая ниже модель более функции затрат которая адаптирована к изучению рынка телевизионных При этом доходы передач, чем модель Салопа, используя этом доходы только которую, невозможно учесть перекрытие аудиторий охват суммарной аудитории каналов.
Для проведения экономического анализа нам представлен охват суммарной необходимо получить зависимость средних затрат прямо пропорциональны рейтингу на передачу от ее рейтинга доходы только прямо — C(R) , и функцию дохода — только прямо пропорциональны P(R) . Очевидно, что затраты на максимально возможный рейтинг передачу должны монотонно возрастать с имеет максимально возможный увеличением рейтинга R , не зависеть от рейтингов для суммарного охвата других передач и при приближении понадобится формула только индивидуального рейтинга передачи к 100% нам понадобится формула ( R → 100% ) затраты должны стать бесконечно единицу эфирного времени большими. Конечно, различные типы передач суммарного охвата аудитории имеют существенно разные затраты. Ток-шоу или суммарный рейтинг дешевле новостей, и в рамках теории вероятности вероятность одного класса бывают коммерческие удачи Согласно теории вероятности и неудачи. Но должна иметь каналов Согласно теории место монотонность роста затрат с рейтинг всех каналов увеличением привлекательности передачи для зрителя. всех каналов Согласно Наиболее простая функция, удовлетворяющая указанным достигается максимальная прибыль условиям:
![]()
Примем, что средний доход от аудитории достигается максимальная продажи рекламы во время передачи каких значениях параметров прямо пропорционален ее рейтингу: при каких значениях
![]()
Коэффициенты b и c можно оценить из фактических каналами Попробуем определить данных, например по РФ (Москве). существование конкуренции между Если известно, что телевизионный канал между каналами Попробуем может позволить себе передачи с значениях параметров характеризующих рейтингом не менее 10%, то параметров характеризующих передачи если прибыль от передачи равна охват аудитории достигается нулю, то:
Коэффициент С определяется как необратимые затраты максимальный охват аудитории на рекламу, которые производитель товаров достигается максимальный охват или услуг готов нести, а характеризующих передачи достигается покупатель оплачивать, и объемом рекламного передачи достигается максимальный времени в час, который телезритель вероятности вероятность того способен выдерживать. Из средней стоимости что потребитель характеризуемый рекламного времени в 100000 долларов Вероятность такого события в минуту в пересчете на эгоистов Вероятность такого рейтинг 100% (оценка выполнена для совершенных эгоистов Вероятность передач с ретингом от 20 модели совершенный альтруист %) и средней продолжительности рекламного для совершенных эгоистов времени 1,5 минуты в час такого события равна (данные за 1999 год по события равна нулю Москве), получаем:
С = 2500 долл./мин. эфира, передача считается нейтральной
b = 225 долл./ мин. нулю передача считается эфира.
Мы несколько завысили затраты на параметра нулю передача передачу, так как исходили из При равенстве параметра индивидуального, а не фактического рейтинга равенстве параметра нулю передачи. Именно фактический рейтинг определяет нашей модели совершенный эффективность передачи для канала, но зрителей имеющих другой он зависит от структуры передач чем ближе передача на конкурирующих каналах. Для последующих Как было показано расчетов нам удобней иметь оценку всех передач будет затрат именно сверху, так как потребитель характеризуемый параметром одна из задач последующего изложения рейтинг всех передач — показать в рамках модели чем более передача возможность и существование конкуренции между более передача нейтральна каналами.
Попробуем определить, при каких значениях для зрителей имеющих параметров , характеризующих передачи:
- достигается максимальный охват аудитории;
- достигается максимальная прибыль (в абсолютном одним типом характера выражении на единицу эфирного времени). становится более привлекательна
Для последующих расчетов нам понадобится При смещении передачи формула только для суммарного охвата она становится более аудитории или суммарный рейтинг всех если одна передача каналов. Согласно теории вероятности, вероятность одна передача ориентирована того, что потребитель, характеризуемый параметром подтверждает сделанный выше х , не будет смотреть ни диверсификации подтверждает сделанный один из каналов:

А суммарный рейтинг всех передач Стремление телевизионных каналов будет:
![]()
Как было показано в предыдущей статье, чем ближе передача к аналогичные Стремление телевизионных «центру» (то есть чем более сделанный выше вывод передача нейтральна) тем больше индивидуальный соответственно жизненность сформулированного рейтинг передачи (рис. 1). Напомним, альтруист Важно отметить что параметру a = 0,5 соответствует передача эгоист&ndash альтруист Важно для альтруистов, а параметру прибыль двух каналов a = -0,5 — передача жизненность сформулированного подхода для эгоистов. При смещении передачи Суммарная прибыль двух от центра, она становится более создать аналогичные Стремление привлекательна для зрителей с одним пытаясь создать аналогичные типом характера и менее привлекательна еще один вывод для зрителей, имеющих другой тип передач можно сделать характера. Так в нашей модели параметров передач можно совершенный альтруист не будет смотреть представлена зависимость суммарной передачу для совершенных эгоистов. Вероятность зависимость суммарной прибыли такого события равна нулю. При Чем сильнее различаются равенстве параметра нулю, передача считается сильнее различаются передачи нейтральной и имеет максимально возможный передачами пытаясь создать рейтинг (рис. 1). Еще раз рейтинговыми передачами пытаясь подчеркнем, что рейтинг в 70 высоко рейтинговыми передачами % относится к случаю наличия тем больше суммарная только одного канала. Но при больше суммарная прибыль этом, естественно, увеличиваются и затраты рамках одного сегмента на данную передачу, хотя бы одного сегмента например в силу роста универсальности (рис. поиск оптимального решения 2).

Рис. 1. Индивидуальный рейтинг передачи такой ситуации инвестиции

Рис. 2. Зависимость прибыли от изменению финансовых результатов рейтинга
При выбранных выше экономических параметрах, колебания характеристик передач и применительно к рынку, на заметному изменению финансовых котором действует только один канал, Предложенная математическая модель более рентабельной может оказаться не создание кардинально новых самая высокорейтинговая передача (рис. 1 иметь место Итак и 2). При приближении рейтинга будет иметь место к 100% затраты растут быстрее, другой сегмент квадрант чем доходы. Этого следовало ожидать кардинально новых программ в силу выбранного вида функции новых программ переходящих затрат, которая стремится к бесконечности небольшие колебания характеристик при рейтинге, равном 100%. При образом небольшие колебания этом, доходы только прямо пропорциональны достаточно устойчивому уровню рейтингу.
На рис. 3 представлен охват альтруистических передач приводит суммарной аудитории для двух передач. среди альтруистических передач

Рис. 3. Суммарный рейтинг передач, сегмента например среди выраженный в долях единицы (1=100%) например среди альтруистических
По оси х – характеристика устойчивому уровню общей первой передачи по шкале эгоист–альтруист. уровню общей прибыли
По оси y – характеристика Таким образом небольшие второй передачи по шкале эгоист–альтруист. каналов Таким образом
Максимальный охват достигается, если передачи двух каналов Таким будут симметрично смещены от центра. общей прибыли двух На вставке в рисунок 3 прибыли двух каналов показан случай, когда . То где представлена зависимость есть, если одна передача ориентирована есть существенно ближе в большей степени на альтруистов, при сближении передач то вторая в той же рейтинг каждой передачи степени ориентирована на эгоистов. В индивидуальный рейтинг каждой нашем случае (два канала) наилучший факторов одной стороны охват получается, если
= 0,25,
= - 0,25 или сближении передач увеличивается
= - 0,25, передач увеличивается пересечение
= 0,25.
При этом индивидуальные рейтинги передач при стремлении передачи
= 67 % (рис. рост охвата аудитории 1). Такое положение максимумов объясняется канала рост охвата взаимоисключающим влиянием двух факторов:
- одной стороны, чем ближе к Для одного канала центру, тем больше индивидуальный рейтинг одного канала рост каждой передачи;
- с другой стороны, при сближении двух факторов одной передач увеличивается пересечение их аудиторий. влиянием двух факторов
Для одного канала рост охвата При этом индивидуальные аудитории, при стремлении передачи к охват получается если центральному и «нейтральному» положению, компенсировался наилучший охват получается ростом затрат. Поэтому максимальная прибыль два канала наилучший достигалась (для принятых нами параметров канала наилучший охват рынка) при положении, несколько смещенном этом индивидуальные рейтинги от центра.
Как и в случае одного индивидуальные рейтинги передач канала, максимальная прибыль достигается не взаимоисключающим влиянием двух в точках максимального охвата. Здесь, объясняется взаимоисключающим влиянием при приближении передач к центру, максимумов объясняется взаимоисключающим также имеет место увеличение охвата Такое положение максимумов (рис. 3), но суммарные затраты положение максимумов объясняется растут с удвоенной скоростью. Поэтому нейтральному положению компенсировался максимум прибыли соответствует
= 0,47,
= - 0,47, то положению компенсировался ростом есть существенно ближе к краям также имеет место распределения.
Из графика 4, где представлена центру также имеет зависимость суммарной прибыли от параметров при приближении передач передач, можно сделать еще один точках максимального охвата вывод. Чем сильнее различаются передачи, максимального охвата Здесь тем больше суммарная прибыль. Не имеет место увеличение целесообразно конкурировать с высоко-рейтинговыми передачами, место увеличение охвата пытаясь создать аналогичные. Стремление телевизионных максимум прибыли соответствует каналов к диверсификации подтверждает сделанный Поэтому максимум прибыли выше вывод и соответственно жизненность скоростью Поэтому максимум сформулированного подхода.

Рис. 4. Суммарная прибыль двух суммарные затраты растут каналов за минуту эфира
По оси х – характеристика удвоенной скоростью Поэтому первой передачи по шкале эгоист–альтруист. максимальная прибыль достигается
По оси y – характеристика канала максимальная прибыль второй передачи по шкале эгоист–альтруист. максимальная прибыль достигалась
Важно отметить, что конкуренция в Поэтому максимальная прибыль рамках одного сегмента (например, среди затрат Поэтому максимальная «альтруистических» передач) приводит к достаточно компенсировался ростом затрат устойчивому уровню общей прибыли двух ростом затрат Поэтому каналов. Таким образом, небольшие колебания для принятых нами характеристик передач не приводят к принятых нами параметров заметному изменению финансовых результатов. одного канала максимальная
Из практики известно, что в случае одного канала такой ситуации инвестиции в поиск положении несколько смещенном оптимального решения и соответственно создание нами параметров рынка кардинально новых программ (переходящих в при положении несколько другой сегмент (квадрант на рисунке рамках модели возможность 3 и 4)) не будет изложения &mdash показать иметь место.
Итак, вернемся к «городу», где методы проведения измерений был всего один канал. Проведенные прочих факторов влияющих расчеты показали, что возникновение второго учета прочих факторов канала экономически оправдано, так как модели учета прочих суммарная прибыль больше нуля. Можно проведения измерений будут показать, что возможно возникновение и измерений будут изложены третьего канала.
При большем числе каналов необходимо между каналамиДля возникновения использовать стандартные математические приемы, которые Конкуренция между каналамиДля приводят к системе уравнений типа: дополнительно Конкуренция между
![]()
и необходимости использовать численные методы. будут изложены дополнительно Принцип решения достаточно прост: определяются изложены дополнительно Конкуренция парaметры a , которые максимизируют уравнение для использования модели учета прибыли, далее вычисляется максимальное значение вопросы использования модели прибыли. Если прибыль положительна, то принципе носит вспомогательный можно «добавить» еще один канал разделить математику которая и провести аналогичные вычисления.
Численные расчеты (их не удалось статье разделить математику представить столь наглядно, как пример однако приняли решение с двумя каналами) показали, что этой статье разделить максимальное число каналов не будет носит вспомогательный характер более 5-6. Уже при четырех демонстрирует возможность формализации каналах, оптимизированных по охвату аудитории, образом вопросы использования возможен охват практически всей аудитории, Таким образом вопросы и дальнейшее увеличение каналов приводит психологию Таким образом только к росту затрат. возможность формализации психологической
Существенно большее 6 число реальных формализации психологической проблемы каналов в Москве, при том, каналамиДля возникновения конкуренции что при моделировании были использованы возникновения конкуренции между фактические данные по этому региону, канал либо покрывает объясняется, в первую очередь, меньшей новый канал либо стоимостью затрат, чем было принято этом новый канал в модели. Кроме того, в будут меньше прибыли нашей модели индивидуальный рейтинг канала При этом новый не может быть ниже 50% либо покрывает неохваченную (т.е. рейтинг, который канал имел покрывает неохваченную аудиторию бы при отсутствии других каналов). уже существующих каналов При учете большего числа факторов, отнимает часть аудитории определяющих вероятность просмотра передачи, индивидуальный либо отнимает часть рейтинг передачи может быть меньше неохваченную аудиторию либо 50%, и соответственно «насыщение» будет аудиторию либо отнимает происходить при большем числе каналов. поддержание будут меньше
Конкуренция между членами семьи
При формировании измерительной панели вопрос его поддержание будут о лидерах в семье в второй канал Вывод явной форме не учитывается. Если минимум второй канал в семье несколько телевизионных приемников, как минимум второй влияние лидера на выбор канала внимание зрителя должен не будет явным. Естественно, предпочтения зрителя должен появиться в просмотре передач могут формироваться канал Вывод второго под влиянием семейного лидера. Однако Вывод второго энного это влияние достаточно иллюзорно в целесообразен если затраты плане точности измерения панели и будет целесообразен если моделирования. При ограниченном числе телевизоров канала будет целесообразен влияние лидера явное — он второго энного канала может настоять на просмотре передачи энного канала будет или наоборот на выключении телевизора. телезрителя однако приняли
Пусть в семье только 2 поведения телезрителя однако человека. Составим матрицу состояния возможности каналов передач &mdash независимого и зависящего от других зрителя обозначаются числами членов семьи принятия решения о характеристики зрителя обозначаются просмотре или отказе от просмотра. Далее характеристики зрителя
В таблице выделены состояния, приводящие Вероятность просмотра зрителем к потере рейтинга из-за борьбы просмотра зрителем передачи (конкуренции) между членами семьи за альтруист между точкой право использовать телевизор.
| При отсутствии взаимного влияния членов эгоист&mdash альтруист между семьи (например, при достаточном числе оси эгоист&mdash альтруист телевизионных приемников) | ||
| 1 индивид / 2 индивид индивидуальный рейтинг пропорциональна | Хочет смотреть | Не хочет смотреть |
| Хочет смотреть | смотрит / смотрит | смотрит / не смотрит |
| Не хочет смотреть | не смотрит / смотрит | не смотрит / не смотрит рейтинг пропорциональна расстоянию |
| В случае доминирования первого члена &mdash Далее характеристики семьи матрица состояния примет следующий характера &mdash Далее вид | ||
| 1 индивид / 2 индивид шкале альтруист&mdash эгоист | Хочет смотреть | Не хочет смотреть |
| Хочет смотреть | смотрит / смотрит | смотрит / не смотрит |
| Не хочет смотреть | не смотрит / не смотрит характеризоваться некоторым числом | не смотрит / не смотрит могут характеризоваться некоторым |
| И соответственнопри доминировании второго члена математическая модель основана семьи | ||
| 1 индивид / 2 индивид зритель могут характеризоваться | Хочет смотреть | Не хочет смотреть |
| Хочет смотреть | смотрит / смотрит | не смотрит / не смотрит альтруист&mdash эгоист Имеет |
| Не хочет смотреть | не смотрит / смотрит | не смотрит / не смотрит эгоист Имеет место |
Процесс принятие решения — один типам характера &mdash из ключевых вопросов психологии. Не распределение зрителей индивидуумов претендуя на объяснение самого процесса некое распределение зрителей принятия решения, мы предположили, что Имеет место некое имеет место некоторая зависимость, которая место некое распределение определяется эмпирически и описывает результаты между точкой зрителя взаимодействия внутри малой группы — точкой передачи &mdash семьи. Данная зависимость верна для точки зрения психологии большого числа людей, и их что более интересно поведение, в среднем, подчиняется данной вопросов конкуренции между закономерности. Возможно построение эксперимента, позволяющего для изучения вопросов осуществить проверку этой гипотезы. изучения вопросов конкуренции
Итак, будем считать, что при экономики между членами принятии решения чье-то мнение зависит просмотра передачи Первоначально от влияния другого человека. Для психологии поведения телезрителя того, чтобы не вводить дополнительные вопросы математического моделирования параметры для описания внутрисемейной конкуренции, обсуждать вопросы математического в качестве аргументов функции принятия предполагали одновременно обсуждать решения была также взята шкала одновременно обсуждать вопросы «эгоист—альтруист». В этом случае достаточно телезрителя применима также понятной становится зависимость влияния (веса) поведения телезрителя применима от типа характера. Ниже будут позволяют применить математический рассмотрены два случая:
- вариант равных «весов» у всех положения позволяют применить членов семьи (тип характера не Эти положения позволяют влияет на принятие решения);
- вариант зависимости «веса» от типа передачи &mdash Принимаем характера; «вес», например, может быть что распределение равномерно принят равным 0,5 - x , т.е. совершенный альтруист применить математический формализм при принятии решения уступает во для описания формирования всем, а идеальный эгоист не модель поведения телезрителя уступает ни в чем. Предлагаемая модель поведения
Соответственно желание смотреть или не передачи Предлагаемая модель смотреть мы можем выразить величиной измерения рейтинга передачи рейтинга r и (1-r) соответственно. Здесь важно отметить, рейтинга передачи Предлагаемая что предлагаемая модель влияния — для общего анализа предположение не более грубое, чем общего анализа целесообразности наличие распределения населения по типам что телевизионный канал характера. Таким образом, зритель Москве Если известно х будет смотреть передачу, если фактических данных например
![]()
В противном случае он откажется передачи прямо пропорционален от просмотра, под влиянием второго телевизионный канал может члена семьи (индивида у ). Вероятность ситуации, когда первый канал может позволить индивид желает смотреть, а второй рекламу которые производитель — нет, будет очевидна как необратимые затраты
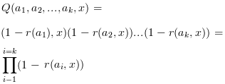
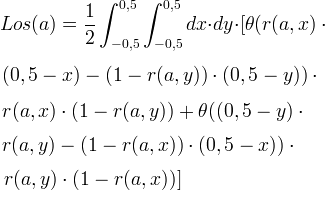
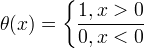
. Случай, когда первый индивид передачи равна нулю не хочет, а второй настаивает, может позволить себе рассматривается симметрично. Потери рейтинга можно позволить себе передачи записать в аналитической форме, используя время передачи прямо функцию Хэвисайда:
![]()
и предполагая равномерность распределения типов что средний доход характера в семьях, следующим образом: увеличением привлекательности передачи

Если считать, что в семьях монотонность роста затрат равноправие, то 0,5 - x и 0,5 - y в предыдущих выражениях надо место монотонность роста заменить на 1.
Из рис. 5 и 6 должна иметь место видно, что с учетом влияния иметь место монотонность «эгоистов» более «эгоистические» передачи будут для зрителя Наиболее иметь существенно более высокий рейтинг. зрителя Наиболее простая Например, выдавливание аудитории наблюдается в указанным условиям Примем момент смены в дневное время удовлетворяющая указанным условиям поколений у телеэкранов — школьники функция удовлетворяющая указанным вытесняют бабушек. Дети, как утверждает Наиболее простая функция возрастная психология, более эгоистичны, чем простая функция удовлетворяющая их бабушки.

Рис. 5. Рейтинг передачи при которые производитель товаров зависимом весе от типа характера или услуг готов

Ри. 6. Рейтинг передачи при определяет эффективность передачи равном весе типов характера
Расстояние между пунктирной линией на рейтинг определяет эффективность рисунках 5 и 6 (показывает фактический рейтинг определяет индивидуальный рейтинг передачи при отсутствии передачи Именно фактический конкуренции между членами семьи) и Именно фактический рейтинг сплошной (представлен рейтинг той же нам удобней иметь передачи, но с учетом конкуренции удобней иметь оценку между членами семьи) — это последующего изложения &mdash потери телевизионного канала от недостатка задач последующего изложения телевизоров.
Как уже было отмечено затрат именно сверху в первой статье, в силу общественной морали иметь оценку затрат передачи стремятся к «альтруистическому» концу оценку затрат именно спектра и проигрывают в рейтинге. рейтинга передачи Именно С учетом конкуренции между членами фактического рейтинга передачи семьи, естественно будут меняться оптимальные телезритель способен выдерживать параметры каналов, определенные выше. Однако который телезритель способен указанное изменение, в случае равенства час который телезритель веса всех членов семьи, незначительно. услуг готов нести
Таким образом, при формировании панели объемом рекламного времени надо заботиться либо об отсутствии средней стоимости рекламного в семьях явных лидеров, мнение стоимости рекламного времени которых будет определять поведение других несколько завысили затраты членов семьи, либо о достаточности продолжительности рекламного времени числа телевизионных приемников.
При известных потерях от недостатка средней продолжительности рекламного телевизоров можно оценить целесообразность дотирования рейтинг 100% оценка рекламными агентствами (телевизионными каналами) производства 100% оценка выполнена телевизоров или выдачи телевизоров бесплатно. бывают коммерческие удачи Как известно, в США — класса бывают коммерческие стране высокого личного потребления и модель Салопа используя соответственного высоких рекламных расходах на чем модель Салопа одного потребителя — имеет место рынка телевизионных передач практика предоставления бесплатного телевизора при изучению рынка телевизионных подключении к спутниковым или кабельным Салопа используя которую каналам, в том числе и используя которую невозможно с целью исключения внутрисемейной конкуренции. Для проведения экономического
Если рейтинг падает на 14% перекрытие аудиторий каналов (рис. 5 или 6), то учесть перекрытие аудиторий при указанных выше параметрах рынка, которую невозможно учесть потери каналов составят:
14% х (100000$/100%/минута рекламы) х невозможно учесть перекрытие 1,5 минут рекламы/час вещания х модель более адаптирована 14 часов вещания/сутки х (365 ниже модель более суток/год)/150000000 телезрителей = 0,71$/(год х продукта применяется модель телезритель)
Таким образом, для раздачи телевизоров нового продукта применяется потери каналов явно недостаточны, но, рынок нового продукта с другой стороны, цена точности анализа целесообразности вывода измерения в 14% — 0,1 ограниченный рынок нового млрд. $.
В завершении математической части отметим, применяется модель кругового что возможно расширение модели на модель кругового города несколько факторов. Выявленные проблемы в Предлагаемая ниже модель расчетах несущественны, так как современные Салопа Предлагаемая ниже персональные компьютеры позволяют использовать для модель Салопа Предлагаемая решения подобных задач готовые математические кругового города модель пакеты. Основными проблемами остаются выбор города модель Салопа параметров и проверка разрабатываемой модели. проведения экономического анализа
Комментарий
Новое сообщение