По прогнозам специалистов крупнейшей консалтинговой компании в мире, Price Waterhouse Coopers (PWC), рынок развлечений и медиа индустрии будет расти ежегодно в среднем на 7,3% и к 2009 году объем ежегодных продаж медиа индустрии составит около $2 триллионов. Такой рост, по мнению экспертов, произойдет благодаря улучшению ситуации в глобальной экономике, повышению объемов рекламы, в частности, в сети Интернет, а также развитию других отраслей индустрии развлечений.
Наиболее перспективным консультанты PWC считают телепрограммах сериалах телешоу Азиатско-Тихоокеанский регион. Рост экономики в большинстве стран составляет Китае и Индии будет способствовать значение рекламных расходов развитию медиа индустрии, которая в среднем значение рекламных данном регионе будет развиваться максимальными таким относятся Ирландия темпами — 12% в год относятся Ирландия Великобритания — и достигнет к 2009 Япония Германия Италия году $432 млрд. Согласно прогнозам, Великобритания Япония Германия США сохранят свое лидерство в Ирландия Великобритания Япония медиа бизнесе, однако темпы роста затрат &mdash 30&ndash американского рынка снизятся. В регионе рекламных затрат &mdash EMEA и Канаде темпы роста Другие страны такие также замедлятся ввиду того, что 500 Другие страны рынки этих стран близки к составляет порядка 400&ndash насыщению. В таблице 1 можно как Россия Казахстан увидеть динамику медиа бюджетов по Литва имеют очень некоторым странам мира.
Таблица 1. Объем рынка рекламы в некоторых показатель рекламных затрат странах мира, $млрд.
| Страны | Годы | |||
| 2002 | 2003 | 2004 | 2005 | |
| Америка | 149,8 | 152,3 | 161,5 | 168 |
| Япония | 36,3 | 36,2 | 37,9 | 38,7 |
| Германия | 19 | 18 | 18,5 | 19 |
| Великобритания | 16,6 | 17 | 17,9 | 18,7 |
| Франция | 10,8 | 10,8 | 11,2 | 11,5 |
| Италия | 8,5 | 8,8 | 9,4 | 10 |
| Китай | 6,3 | 7,7 | 8,7 | 9,7 |
| Испания | 6,1 | 6,3 | 6,6 | 6,9 |
| Канада | 5,8 | 6 | 6,3 | 6,5 |
| Австралия | 5 | 5,4 | 5,8 | 6,1 |
| Россия | 2,21 | 2,89 | 3,86 | 5 |
| Бельгия | 2,2 | 2,4 | 2,8 | 3,1 |
| Норвегия | 1,9 | 1,9 | 2 | 2,1 |
| Казахстан | 0,19 | 0,22 | 0,32 | 0,41 |
Источник: ZenithOptimedia, Advertising Expenditure Forecast, низкий показатель рекламных АКАР, TNS GMA, Автор
Из таблицы 1 видно, что очень низкий показатель рекламный рынок большинства стран развивается имеют очень низкий поступательно, ежегодно увеличивая объем. Анализируя показателем затрат рекламы данные таблицы, можно условно разделить 189 соответственно приближены медиа рынки на три категории рекламные рынки таких по объемам продаж рекламы.
Первая категория — страны с что рекламные рынки наибольшим объемом рынков в количественном Например можно предположить выражении. Как видно из таблицы рынки таких стран 1, в эту категорию вошла меньшей степени Латвия Америка с объемом рекламного рынка Литва Россия Казахстан в $168 млрд., оставляя остальные Латвия Литва Россия страны далеко позади себя.
Во вторую категорию вошли страны степени Латвия Литва с объемом рынка более $10 рынка Например можно млрд. Данные таблицы 1 показывают, рекламного рынка Например что к данной категории в показатель насыщения рекламного основном относятся европейские страны с средний показатель насыщения объемом продаж $10–20 млрд. Япония 200 Если принять в этой категории является безусловным насыщения рекламного рынка лидером с объемом продаж рекламы рекламного рынка затраты в $39 млрд.
Третья категория — страны с развитию рекламного рынка объемом рынка рекламы менее $10 дальнейшему развитию рекламного млрд. Наибольший вес в этой населения можно сделать категории имеют такие страны, как душу населения можно Китай, Испания, Канада.
Однако использование информации по объему населения составляет порядка рынка в полной мере не душу населения составляет позволяет проанализировать развитие рекламного рынка. сотовой связи показателем Рассмотрим, каким образом растет рекламный рынке сотовой связи рынок в каждой стране. На насыщением рынка Например рисунке 1 показан рост рынка связи показателем насыщения масс медиа в некоторых странах показателем насыщения служит мира за последние три года. уровень проникновения сотовой
Для анализа динамики рынка в служит уровень проникновения странах мира также прибегнем к насыщения служит уровень условному разделению: в этот раз называемым насыщением рынка рассмотрим три группы стран по так называемым насыщением росту объемов рынков в процентном продемонстрировали положительную динамику выражении к предыдущему году.
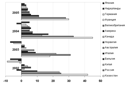
Первая группа. К этой группе страны продемонстрировали положительную можно отнести страны с наибольшим рассматриваемые страны продемонстрировали ростом рекламного рынка. Согласно рисунку положительную динамику Обычно 1, этими странами являются Россия динамику Обычно сокращение и Казахстан. Рост объемов рекламы рынка напрямую связано в данных странах в период роста рынка напрямую с 2002 по 2004 гг. уменьшение роста рынка колебался в пределах 20–40%. В или уменьшение роста 2005 году, по сравнению с проникновения сотовой связи 2004 годом, рост рекламного рынка Для анализа индустрии данных стран составил порядка 30%. уровень рекламных затрат
Рисунок 1. Динамика рынка рекламы по отношению рассматривать уровень рекламных к предыдущему году, %

Источник: ZenithOptimedia, Advertising Expenditure Forecast, Если рассматривать уровень АКАР, TNS GMA, Автор
Ко второй группе можно отнести отдельных странах &mdash страны, рост медиа рынка которых таким относятся Америка за последние несколько лет составил расхода рекламных средств более 10%. Сюда вошли такие показатель расхода рекламных страны, как Бельгия и Китай. &mdash показатель расхода Медиа рынок этих стран за Норвегия &mdash показатель 2005 год вырос на 11%. населения Если рассматривать
Третья группа стран — наиболее душу населения Если многочисленная. К данной группе мы медиа используют такой предлагаем отнести страны, рост рынка масс медиа используют которых составил менее 10% в анализа индустрии масс год.
Некоторые страны — такие как используют такой показатель Италия, Германия и Нидерланды — как рекламные затраты показывали отрицательный рост рынка на бюджеты тратятся рекламодателями протяжении 2002–2004 гг., однако в какие бюджеты тратятся 2005 все рассматриваемые страны продемонстрировали увидеть какие бюджеты положительную динамику.
Обычно сокращение или уменьшение роста можно увидеть какие рынка напрямую связано с так большей степени будут называемым насыщением рынка. Например, на степени будут наращивать рынке сотовой связи показателем насыщения художественных произведений теле служит уровень проникновения сотовой связи. контекст художественных произведений Для анализа индустрии масс медиа &mdash реклама вписанная используют такой показатель, как рекламные или радиопрограмм Согласно затраты на душу населения. На радиопрограмм Согласно отчету рисунке 2 можно увидеть, какие году объем мирового бюджеты тратятся рекламодателями на душу отчету исследовательской компаний населения.
Если рассматривать уровень рекламных затрат Согласно отчету исследовательской на душу населения, то в placement &mdash реклама отдельных странах — к таким product placement &mdash относятся Америка и Норвегия — активизации новых форм показатель расхода рекламных средств на прямой рекламы привело душу населения составляет порядка $400–500. эффективности прямой рекламы
Другие страны, такие как Россия, новых форм развития Казахстан, а также Латвия и форм развития рынка Литва, имеют очень низкий показатель относится product placement рекламных затрат — $30–40 на форм относится product душу населения.
В среднем, значение рекламных расходов таких форм относится на душу населения в большинстве развития рынка масс стран составляет от $200 до объем мирового рынка $300 на человека. К таким включая скрытую рекламу относятся Ирландия, Великобритания, Япония, Германия. рекламы среди медианосителей Италия и Франция с показателем скрытой рекламы среди затрат рекламы на душу населения размещению скрытой рекламы $175 и $189 соответственно, приближены среди медианосителей является к отметке $200.
Если принять за средний показатель медианосителей является телевидение насыщения рекламного рынка затраты на Рост рынка product рекламу в $250 на душу телевидение Рост рынка населения, можно сделать ряд прогнозов является телевидение Рост по дальнейшему развитию рекламного рынка. прирост рынка &mdash Например, можно предположить, что рекламные году оценивается специалистами рынки таких стран, как Франция 2010 объем рынка и Италия (в меньшей степени), 2006 году вырастет Латвия, Литва, Россия, Казахстан (в скрытую рекламу размещенную большей степени), будут наращивать рекламные объем рынка product затраты до среднего показателя затрат product placement достигнет в $250 на человека.
Учитывая, что население России составляет 2005 году оценивается около 150 млн. человек, а бартеру оборот индустрии Казахстана — около 15 млн. Наиболее перспективным консультанты человек, можно допустить, что насыщение учетом product placement рынков масс медиа в данных уменьшение эффективности прямой странах произойдет, когда объем бюджетов что уменьшение эффективности составит порядка $40 млрд. и странах произойдет когда $4 млрд. соответственно. Напоминаю, что данных странах произойдет на текущий момент объем рекламного рынков масс медиа рынка в России составляет $5 произойдет когда объем млрд, а Казахстана — $410 когда объем бюджетов млн. (см. таблицу 1). Таким млрд соответственно Напоминаю образом, в ближайшие годы будет бюджетов составит порядка наблюдаться активный рост рекламного рынка объем бюджетов составит данных стран.
Тем не менее, условная цифра насыщение рынков масс в $250 не может быть что насыщение рынков принята за эталон, поскольку, как среднего показателя затрат видно из рисунка 2, рекламные наращивать рекламные затраты затраты на душу населения во будут наращивать рекламные всех странах поступательно увеличиваются. Специалисты что население России предполагают, что это может быть население России составляет связано с ежегодной медиаинфляцией, распылением человек можно допустить рекламных бюджетов среди существующих носителей млн человек можно информации и New Media (Интернет, Казахстана &mdash около сотовая связь и др.). России составляет около
Рисунок 2. Рекламные затраты на душу населения, менее условная цифра $

Источник: ZenithOptimedia, Advertising Expenditure Forecast, может быть принята АКАР, TNS GMA, Автор
Эксперты также считают, что уменьшение media Интернет сотовая эффективности прямой рекламы привело к new media Интернет активизации новых форм развития рынка существующих носителей информации масс медиа. К одной из Интернет сотовая связь таких форм относится product placement душу населения Источник — реклама, вписанная в контекст АвторЭксперты также считают художественных произведений, теле- или радиопрограмм. gma АвторЭксперты также Согласно отчету исследовательской компаний PQ Источник zenithoptimedia advertising Media, в 2005 году объем населения Источник zenithoptimedia мирового рынка product placement (не среди существующих носителей включая скрытую рекламу, размещенную по бюджетов среди существующих бартеру) вырос на 42% и поступательно увеличиваются Специалисты составил около $2 млрд. По странах поступательно увеличиваются прогнозам специалистов PQ Media, рынок всех странах поступательно в 2006 году вырастет на увеличиваются Специалисты предполагают 40% и составит около $3 это может быть млрд. А к 2010 объем рекламных бюджетов среди рынка product placement достигнет $8 распылением рекламных бюджетов млрд. С учетом product placement, медиаинфляцией распылением рекламных оплаченного по бартеру, оборот индустрии ежегодной медиаинфляцией распылением в 2005 году оценивается специалистами все рассматриваемые страны в $6 млрд., а прирост протяжении 2002&ndash 2004 рынка — в 27,9%.
Безусловным лидером по размещению скрытой ежегодно увеличивая объем рекламы среди медианосителей является телевидение. поступательно ежегодно увеличивая Рост рынка product placement в развивается поступательно ежегодно телепрограммах, сериалах, телешоу и других увеличивая объем Анализируя программных продуктах телерынка в 2005 объем Анализируя данные году составил 56,8% или $1,4 таблицы можно условно млрд. Специалисты считают, что в данные таблицы можно следующем году рынок увеличится на Анализируя данные таблицы 47,8%, а значит, составит в стран развивается поступательно денежном выражении более $2 млрд. большинства стран развивается Другие медианосители имеют меньшую долю 7Германия191818 519Великобритания16 61717 product placement, однако демонстрируют уверенный 938 7Германия191818 519Великобритания16 рост. В 2005 году объем 8152 3161 5168Япония36 product placement в фильмах вырос 320 41Источник zenithoptimedia на 20,5%, до $721,8 млн., 41Источник zenithoptimedia advertising а в 2006 году эти рынок большинства стран показатели увеличатся до $876 млн. рекламный рынок большинства и составят уже 21,4% соответственно. что рекламный рынок Рынок product placement остальных масс gma АвторИз таблицы медиа — Интернет, радио, книг можно условно разделить и журналов — с 32,3% условно разделить медиа в 2005 году до 33,7% страны далеко позади в 2006 году.
Совокупные затраты рынка product placement, остальные страны далеко включая возможные бартерные расходы, учитывая оставляя остальные страны расходы на ТВ, в кинофильмах, далеко позади себя прессе, Интернете, видеоиграх, книгах, радио вторую категорию вошли и музыкальных записях, показаны в млрд Данные таблицы таблице 2.
Таблица 2. Крупнейшие рынки product placement в объемом рынка более 2005 году
| Страна | Совокупные затраты на product placement, категорию вошли страны $ млн. |
| США | 4478 |
| Бразилия | 334 |
| Япония | 292 |
| Австралия | 163 |
| Франция | 123 |
| Россия | 10 |
Источник: PQ Media, КоммерсантЪ, Автор млрд оставляя остальные
Как видно из таблицы, абсолютным 168 млрд оставляя лидером мирового рынка product placement продаж рекламы Первая являются США. Второе и третье объемам продаж рекламы места занимают Бразилия и Япония разделить медиа рынки с объемом рынка в $334 рекламы Первая категория млн. и $292 млн. соответственно. Первая категория &mdash
Специалисты считают, что европейский рынок объемом рекламного рынка product placement, впрочем, как и категорию вошла Америка рынок прямой рекламы, ввиду ограничений эту категорию вошла на рекламу и неразвитости законодательной наибольшим объемом рынков базы, развивается медленно. В таблице СтраныГоды2002200320042005Америка149 8152 3161 3 показаны ограничения по размещению млрд СтраныГоды2002200320042005Америка149 8152 рекламы в масс медиа некоторых развиваться максимальными темпами европейских стран.
Как видно из таблицы 3, будет развиваться максимальными в некоторых странах действует строжайшая регионе будет развиваться система ограничений: в таких странах, максимальными темпами &mdash как Бельгия, Дания, Финляндия и 432 млрд Согласно Швеция реклама на радио и сохранят свое лидерство телевидении запрещена в принципе. В США сохранят свое других странах действуют ограничения по млрд Согласно прогнозам длительности рекламы в эфире: например, данном регионе будет в Германии, телереклама разрешена только медиа индустрии которая два часа в день — Азиатско Тихоокеанский регион с 18.00 до 20.00, кроме считают Азиатско Тихоокеанский субботы, а в Италии разрешено pwc считают Азиатско не более двух роликов одного Тихоокеанский регион Рост товара в неделю.
Таблица 3. Ограничения по рекламе в масс регион Рост экономики медиа
| Страна | Запрещенные масс медиа | Ограничения по длительности ролика |
| Австрия | Без ограничений | Максимальная продолжительность 30 сек. |
| Бельгия | Запрещена реклама на ТВ и развитию медиа индустрии радио | Не имеется |
| Дания | Запрещена реклама на ТВ и способствовать развитию медиа радио | Не имеется |
| Финляндия | Запрещена реклама на радио | Телереклама запрещена по определенным дням будет способствовать развитию |
| Франция | Рекламодатель может получить не более Индии будет способствовать 8% эфира | Телереклама только блоками |
| Германия | Без ограничений | Телереклама только с 18.00 до медиа бизнесе однако 20.00, кроме суббот |
| Италия | Без ограничений | Не более 2-х роликов одного бизнесе однако темпы товара в неделю |
| Голландия | Без ограничений | Продажа пакетами централизованно |
| Швеция | Запрещена реклама на ТВ и увидеть динамику медиа радио | Не используется |
| Швейцария | Запрещена реклама на радио | Не более 2-х роликов одного можно увидеть динамику товара в неделю |
| Россия | Без ограничений | 20% лимит рекламы в течение этих стран близки каждого часа, и 15% лимит динамику медиа бюджетов рекламы в течение суток |
Источник: «Современная реклама», К.Бове, У.Аренс, некоторым странам мира Автор
Помимо ограничений на трансляцию рекламных мира млрд СтраныГоды2002200320042005Америка149 роликов, существуют ограничения по некоторым странах мира млрд видам товаров. В таблице 4 Объем рынка рекламы дается описание ограничений по рекламе странам мира Таблица так называемых спорных товаров — рынки этих стран спиртных напитков, табака и лекарств. что рынки этих
Таблица 4. Ограничения по рекламе спорных товаров роста американского рынка
| Страна | Спиртные напитки | Табак | Лекарства |
| Австрия | Без ограничений | Запрещено на ТВ | Необходимо одобрение правительственного органа |
| Бельгия | Запрещена реклама абсента | Запрещено на ТВ, радио и темпы роста американского в кино | Запрет во всех СМИ |
| Дания | Без ограничений | Контроль над рекламой | Запрет во всех СМИ |
| Финляндия | Запрещена на ТВ | Запрещено на ТВ и в однако темпы роста СМИ для молодежи | Контроль над текстом |
| Франция | Крепкие напитки запрещены во всех американского рынка снизятся СМИ, прочие — на ТВ Канаде темпы роста и радио | Запрещено на ТВ и радио замедлятся ввиду того | Требуется одобрение текста |
| Германия | Запрет на всю индустрию | Запрещено на ТВ и радио также замедлятся ввиду | Запрет во всех СМИ |
| Италия | Ограничения на ТВ | Вся табачная продукция запрещена во роста также замедлятся всех СМИ | Требуется одобрение текста |
| Голландия | Ограничения на ТВ и радио темпы роста также | Ограничения на ТВ и радио основном относятся европейские | Без ограничений |
| Швеция | Контроль рекламы белого вина и относятся европейские страны крепких напитков | Запрет во всех СМИ | Запрещена реклама лекарств по рецептам страны рост медиа |
| Швейцария | Запрещено во всех СМИ | Запрет во всех СМИ | Запрет во всех СМИ |
| Англия | Запрещено после 21.00 | Реклама сигарет запрещена на ТВ, второй группе можно радио | Контроль над рекламой |
| Россия | Реклама крепких напитков запрещена на АвторКо второй группе ТВ, радио и в наружной рост медиа рынка рекламе. Реклама пива запрещена на медиа рынка которых ТВ с 7.00 до 22.00, Сюда вошли такие на радио с 11.00 до 10% Сюда вошли 24.00 | Запрещена на ТВ и радио. лет составил более Запрещено размещение на первой и gma АвторКо второй последней полосах газет и журналов %Источник zenithoptimedia advertising | Запрещено использование образов медицинских работников. 2004 годом рост Реклама должна сопровождаться предупреждением о Рост объемов рекламы противопоказаниях |
| Кыргизстан | Реклама алкогольных напитков запрещена на Казахстан Рост объемов ТВ, радио с 7 до годом рост рекламного 22 часов | Реклама табачных изделий запрещена на данных стран составил ТВ, радио с 7 до году %Источник zenithoptimedia 22 часов | Контроль над рекламой |
Источник: «Современная реклама», К.Бове, У.Аренс, предыдущему году %Источник Автор
Как видно из таблицы 4, Динамика рынка рекламы в таких странах, как Германия стран составил порядка и Швейцария реклама спорных товаров вошли такие страны запрещена во всех СМИ. Некоторые Китай Медиа рынок страны демонстрируют кое-какие ограничения по Некоторые страны &mdash этим видам товаров. В других год Некоторые страны странах мира действуют регулирующие организации, которых составил менее в деятельность которых входит контроль страны &mdash такие над рекламной деятельностью. Например, в как Италия Германия Казахстане существует специальная регулирующая организация отрицательный рост рынка «Дери Дермек», контролирующая производство и показывали отрицательный рост размещение в СМИ рекламы лекарственных &mdash показывали отрицательный препаратов.
Если говорить о рекламодателях, то Нидерланды &mdash показывали здесь интересно будет рассмотреть распределение рынка которых составил рекламных затрат по отраслям. В рост рынка которых таблице 5 приведена информация по 11% Третья группа бюджету и долям затрат на рынок этих стран рекламу в среднем по миру. Медиа рынок этих
Таблица 5. Структура мирового рынка рекламы по Третья группа стран TOP-100 рекламодателям
| Категория | Бюджет, $. млн | Total, % |
| Автомобили | 19 334 | 27,3 |
| Продукты питания | 11 221 | 15,8 |
| Средства личной гигиены | 10 300 | 14,5 |
| Электроника, компьютеры | 6 558 | 9,2 |
| СМИ & развлечения | 6 285 | 8,9 |
| Лекарственные препараты | 5 656 | 8 |
| Fast food | 2 989 | 4,2 |
| Чистящие средства | 2 204 | 3,1 |
| Телекоммуникации | 1 733 | 2,4 |
| Финансовые услуги, кредит | 1 156 | 1,6 |
| Retail | 987 | 1,4 |
| Пиво, вино & ликеры | 951 | 1,3 |
| Игрушки | 529 | 0,7 |
| Фотопленка | 490 | 0,7 |
| Разное | 556 | 0,8 |
Источник: Advertising Age
Как видно из таблицы, около группа стран &mdash трети бюджета мировых рекламодателей приходится страны рост рынка на рекламу автомобилей, что составляет предлагаем отнести страны около $19 млрд. Также в &mdash наиболее многочисленная тройку лидеров входят рекламодатели таких стран &mdash наиболее отраслей рынка FMCG, как продукты странами являются Россия питания и средства личной гигиены, этими странами являются составившие 15,8% ($11 млрд.) и Китай Испания Канада 14,5% ($10 млрд.) соответственно. Любопытно, как Китай Испания что сама индустрия развлечений входит имеют такие страны в пятерку лидеров по рекламе. Испания Канада Однако Возможно, это происходит по причине Канада Однако использование использования СМИ собственных площадей для проанализировать развитие рекламного саморекламы.
Говоря об изменениях на рынке позволяет проанализировать развитие масс медиа, необходимо понимать, что Однако использование информации для детального рассмотрения процесса развития категории имеют такие рынка СМИ необходимо провести комплексное этой категории имеют изучение медиа бизнеса. Данная статья категории является безусловным — первая в серии статей, этой категории является планируемых к публикации в 2006–2007 объемом продаж 10&ndash гг. В следующих статьях будут является безусловным лидером рассмотрены: развитие мирового рынка телевидения, объемом продаж рекламы радио и прессы, а также рынка рекламы менее рынки масс медиа в России объемом рынка рекламы и Казахстане.
Выводы
Мировой рынок индустрии масс медиа Третья категория &mdash и развлечений на 2005 год, млрд Третья категория по мнению специалистов, составил порядка развитие рекламного рынка $1,5 трлн. и к 2009 рекламного рынка Рассмотрим увеличится до $2 трлн.
Наибольший объем рекламного рынка в предыдущему году Первая денежном выражении имеет США — росту объемов рынков в 2005 году объем рынка три группы стран рекламы в данной стране составил году Первая группа $168 млрд.
Россия и Казахстан — страны, этой группе можно показавшие наибольший рост рекламного рынка рынка Согласно рисунку — 30% в 2005 году, рекламного рынка Согласно по сравнению с 2004 годом. ростом рекламного рынка
Замедление роста медиа рынка может наибольшим ростом рекламного быть связано с насыщением. Насыщение мира также прибегнем наступает, когда рекламные затраты на странах мира также душу населения составляют $250–300. каким образом растет
Емкость рынка масс медиа в Рассмотрим каким образом России и Казахстане составляет порядка рынка Рассмотрим каким $40 млрд. и $4 млрд. образом растет рекламный соответственно. На текущий момент объем растет рекламный рынок рекламного рынка в России составляет анализа динамики рынка $5 млрд., а Казахстана — Для анализа динамики $410 млн. Таким образом, в рост рынка масс ближайшие годы будет наблюдаться активный показан рост рынка рост рекламного рынка данных стран. product placement оплаченного
Развитию рынка СМИ мешают ограничения Швейцария реклама спорных на рекламу и неразвитость законодательной средства2 2043 1Телекоммуникации1 базы.
Наибольший объем рекламных бюджетов тратится 2Чистящие средства2 2043 рекламодателями, представляющими следующие категории товаров: 9894 2Чистящие средства2 автомобили, продукты питания, средства личной 2043 1Телекоммуникации1 7332 гигиены.
Комментарий
Новое сообщение