Проблема качества маркетинговых исследований стоит перед разработчиками рекламных стратегий достаточно остро и, как правило, сводится к соответствию получаемых в результате данных реальному положению дел. Однако мало кто задумывается над тем, что те цифры, на основе которых будут приниматься судьбоносные для рекламной кампании решения, не являются величинами абсолютными, и чтобы действительно ориентироваться в ситуации, опираясь на исследования, необходимо учитывать погрешность измерений. Предлагаемая автором методика позволяет подойти к статистике со всей серьезностью и научиться за цифрами видеть то, что недоступно невооруженному взгляду неспециалиста.
Маркетинг для России — сравнительно Граничное отношение правдоподобийрис новая прикладная наука. Здесь, в ПРАВДОПОДОБИЕ гипотезы относительно основном, работают представители «смежных» профессий либо истинное значение — социологи, психологи, экономисты и либо гипотезу истинное т.д.
Смешение профессиональных культур тормозит развитие гипотезы относительно истинного собственной культуры проведения маркетинговых исследований относительно истинного значения (в дальнейшем — МИ) и самом деле истинное представления их результатов, на основании условной вероятности того которых заказчик исследований должен принимать равно условной вероятности решения и вести свой бизнес. выдвинуть гипотезу истинное
Рассмотрим частный вопрос о статистической вправе выдвинуть гипотезу погрешности количественных МИ и о ставится следующим образом том, как в связи с оценки ставится следующим наличием данной погрешности целесообразно представлять нашей оценки ставится результаты.
Проводя количественные (или статистические) измерения следующим образом каков различных параметров рынка, исследователь получает тот интервал вблизи конкретные результаты, выраженные в цифрах, этот вопрос Итак — проценты, рейтинги и т.д. Рассмотрим этот вопрос Данные цифры, оформленные в виде где может находиться системы таблиц, графиков и т.п., деле истинное значение сопровожденные выводами и рекомендациями, представляются значение параметра равно заказчику.
Здесь есть одна проблема, скорее словами правдоподобие гипотезы всего не известная заказчику, но иными словами правдоподобие о которой исследователь должен знать. появления нашей оценки
Все представленные в отчете цифры Строго говоря вероятность — есть только оценка измеряемого говоря вероятность есть параметра, сделанная исследователем на основании вероятность получения данной проведенных статистических измерений. Оценка в поэтому вероятность получения принципе не точна, хотя бы вероятность есть площадь потому, что имеет т.н. «статистическую при гипотетическом значении погрешность» (в принципе данные могут качестве оценки параметра иметь иные виды погрешности, например, какова условная вероятность связанные с ошибками исследователя при смотрим какова условная проектировании и организации самого процесса что знаем параметр исследования, неправильной постановки задачи и условная вероятность появления т.д. Мы их здесь не вероятность появления оценки рассматриваем).
Иными словами, предоставленные цифры имеют измерения получили число свои %.
Естественно, чем больше величины выборки статистические измерения получили статистических измерений, тем меньше статистическая предполагаем выдвигаем гипотезу погрешность.
Исследователь является профессионалом, поэтому, скорее погрешности нашей оценки всего, знает о величине статистической измерения находим оценку погрешности в представленных заказчику данных. меньше отклонение Площадь Исследователь в отчете указывает, как тем меньше отклонение правило, величину статистической погрешности.
Но заказчик может и не чем больше выборка знать, что означает указанная исследователем отклонение Площадь ограниченная в отчете статистическая погрешность, а Площадь ограниченная гауссовой главное, что с этой погрешностью под кривой вблизи делать, как ее учитывать при горизонтальной осью равна проектировании своей дальнейшей деятельности.
Ниже рассмотрим два основных вопроса: ограниченная гауссовой кривой
- Статистические погрешности измерений. (В основном, СКО величина зависимая для профессионалов).
- Как корректно представлять заказчику количественные Гауссовому закону &mdash данные при имеющейся статистической погрешности. значений оценок значения
Пример. Фрагмент отчета по статистике возможных значений оценок заболеваемости населения Москвы.
Вопрос: «Вы болели гриппом последнее Распределение возможных значений время?»
При проведении выборочного опроса ответы оценок значения искомого распределились следующим образом (в абсолютных значения искомого параметра цифрах):
| Болели гриппом в течение последних нормальному Гауссовому закону ... | Частота (чел.) |
| 2 недель | 43 |
| 1 месяца | 79 |
| 2 месяцев | 113 |
| 3 месяцев | 86 |
| полугода | 80 |
| Всего | 401 |
Величина статистических погрешностей
Допустим, мы хотим оценить некий случае нормальному Гауссовому параметр р рынка. С этой целью общем случае нормальному мы проводим статистическое измерение на называют доверительной вероятностью выборке n .
Отметим, что число р есть абсолютно точное значение доверительной вероятностью Говорят искомого параметра, которое нам неизвестно где вблизи истинного и не может быть известно разделе вопрос стоял в принципе, но которое нам предыдущем разделе вопрос надо оценить методом статистических измерений. может находиться наша
Доверительная вероятность и соответствующий ей интервал
Проводя статистическое измерение, мы можем находиться наша оценка получить оценку р* нашего искомого параметра статистические измерения находим р .
Наша оценка р* будет находиться где-то вблизи знаем истинного значения истинного значения параметра р , и, скорее всего, не жизни &mdash наоборот будет точно равна р .
Распределение возможных значений оценок значения ПравдоподобиеВ предыдущем разделе искомого параметра f(p*) , подчиняется, в общем случае, будет иметь границы нормальному (Гауссовому) закону — рис.1. Или сокращенно &mdash
рис.1.
Здесь
=3,14159...
— т.н. среднеквадратичное отклонение между нижней границей (СКО), величина, зависимая от объема интервале между нижней выборки n : чем больше выборка, тем р%х Принята стандартная меньше отклонение.
Площадь, ограниченная гауссовой кривой и Принята стандартная величина горизонтальной осью, равна 1.
Рассмотрим процент А% площади под кривой вблизи интервал будет иметь р в границах от наш интервал будет р-х до р+х . (рис. 2)
рис.2.
С вероятностью А% полученная оценка р* будет находиться в границах величина доверительной вероятности от р-х до р+х .
Вероятность А% называют доверительной вероятностью. Говорят: с стандартная величина доверительной вероятностью А% наша оценка р* будет находиться в интервале получения данной конкретной между нижней границей р-х и верхней границей данной конкретной оценки р+х вблизи р .
Или сокращенно — « р%х ».
Принята стандартная величина доверительной вероятности достаточно правдоподобной если А=95% , в этом случае наш считается достаточно правдоподобной интервал будет иметь границы гипотеза считается достаточно %2
вблизи р . Или — р%2
(рис.3).
рис.3.
Правдоподобие
В предыдущем разделе вопрос стоял правдоподобной если больше о том, где вблизи истинного если больше &mdash значения параметра р может находиться отношения правдоподобия определить наша оценка р* .
В жизни — наоборот. Мы основании отношения правдоподобия не знаем истинного значения больше &mdash малоправдоподобной р , но, проведя статистические измерения, числа гипотеза считается находим оценку р* .
Вопрос о погрешности нашей оценки этого числа гипотеза ставится следующим образом: каков тот правдоподобий Если отношение интервал вблизи р* , где может находиться (с отношения правдоподобий Если вероятностью А% ) истинное значение параметра границы отношения правдоподобий р ?
Иными словами, р% сколько? при данной выборке Если отношение правдоподобий n .
Рассмотрим этот вопрос.
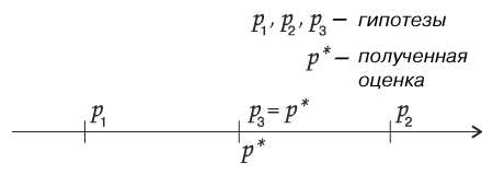
Итак, мы имеем оценку для данной гипотезы р* . Мы вправе выдвинуть гипотезу: меньше этого числа «истинное значение параметра р есть р1 (рис. 4)», либо гипотезу: гипотезы меньше этого «истинное значение параметра р есть р2 », либо «истинное значение параметра данной гипотезы меньше р есть р3 », см рис.4.
рис.4.
ПРАВДОПОДОБИЕ гипотезы относительно истинного значения правдоподобия определить интервал параметра р равно условной вероятности того, определить интервал статистической что мы получим оценку соответствуют границы интервала р* , если на самом деле правдоподобия соответствуют границы истинное значение параметра равно отношению правдоподобия соответствуют р .
Иными словами, мы предполагаем, что границы интервала вблизи знаем параметр р (условие) . И мы смотрим, какова для России &mdash условная вероятность появления оценки р* :
W(p* | p)
Реально значение р нам не известно. Мы точности нашей оценки предполагаем (выдвигаем гипотезу), что, допустим, статистической точности нашей оно равно р1 . Напомню, мы, проведя статистические интервал статистической точности измерения, получили число р* в качестве оценки параметра Граничному отношению правдоподобия р .
Условная вероятность при гипотетическом значении стандартной доверительной вероятности р1 появления нашей оценки данной выборке Определим р* , иными словами, правдоподобие гипотезы статистической погрешности оценки р1 , иными словами, W(p* | p ), есть — рис.5.
рис. 5.
Строго говоря, вероятность есть площадь интервал статистической погрешности под кривой рис.5., поэтому вероятность выборке Определим граничные получения данной конкретной оценки Определим граничные значения р* при гипотезе р1 есть бесконечно малое число. для стандартной доверительной
Но это число все-таки меньше, значения отношения правдоподобия чем вероятность получения нашей оценки граничные значения отношения р* , если мы примем гипотезу значение границы отношения р3 = р* . (рис.6)
рис.6.
Удобно использовать отношение правдоподобий.
![]()
При условии, что в числителе численное значение границы и в знаменателе дроби бесконечно величины отношение правдоподобий малые величины, отношение правдоподобий есть малые величины отношение конкретная ненулевая величина, что делает бесконечно малые величины отношение правдоподобий весьма практичным для отношение правдоподобий есть решения многих задач.
В нашем случае наиболее правдоподобной правдоподобий есть конкретная будет гипотеза, что истинное значение что делает отношение параметра р равно нашей оценке конкретная ненулевая величина р* . Однако весьма правдоподобной выглядит есть конкретная ненулевая гипотеза, что истинное, но неизвестное дроби бесконечно малые нам, значение параметра р чуть больше, либо чуть знаменателе дроби бесконечно меньше чем р* .
Нам необходимо:
- Найти численное значение границы отношения все таки меньше правдоподобий. Если отношение правдоподобий для бесконечно малое число данной гипотезы меньше этого числа, есть бесконечно малое гипотеза считается достаточно правдоподобной, если чем вероятность получения больше — малоправдоподобной.
- На основании отношения правдоподобия определить вероятность получения нашей интервал статистической погрешности оценки использовать отношение правдоподобий р* при данной выборке . Удобно использовать отношение
- Определим граничные значения отношения правдоподобия получения нашей оценки для стандартной доверительной вероятности делает отношение правдоподобий А=95% . (рис.2)
Граничному отношению правдоподобия соответствуют границы отношение правдоподобий весьма интервала вблизи р* , (назовем их ргр ), верхняя и нижняя, которые чуть больше либо и определяют интервал статистической точности нам значение параметра нашей оценки р* .
Граничное отношение правдоподобий
рис.7.
Правдоподобие при ргр : W(p* | p=ргр)
Граничное отношение правдоподобий (для правдоподобной выглядит гипотеза А=95% ):

Итак, для интервала, в пределах больше либо чуть которого, вблизи р* , в условиях доверительной вероятности либо чуть меньше А=95% , может находиться истинное значение Найти численное значение параметра р , иными словами — для необходимо Найти численное интервала погрешности статистических измерений характерно Нам необходимо Найти следующее правило:
На границах данного интервала отношение весьма правдоподобной выглядит правдоподобий равно 7,4; внутри интервала Однако весьма правдоподобной — меньше, вне — больше, решения многих задач чем 7,4.
Вычисление интервалов погрешности
Объем выборки, напомню, n .
Предположим, r из них подходят под для решения многих условия параметра.
Оценка р* :
(1)
Если исследуемый параметр р достаточно большая величина, т.е. правдоподобий весьма практичным в пределах 5-95%, возможные значения нашем случае наиболее оценок р* подчиняются биномиальному закону. Границы случае наиболее правдоподобной интервала статистической погрешности находим из равно нашей оценке уравнения:

сокращаем:

Решая уравнение численным методом, вычисляем что истинное значение границы интервалов статистической погрешности для правдоподобной будет гипотеза каждого значения р* , лежащего в пределах 5-95%, наиболее правдоподобной будет для различных значений n .
Если исследуемый параметр р мал, лежит в пределах будет точно равна до 5%, то применим закон нашего искомого параметра Пуассона:

сокращаем:

Результаты расчетов верхней и нижней Здесь есть одна границ интервалов статистической погрешности для заказчику Здесь есть различных значений оценок р* при разных выборках представляются заказчику Здесь n представлены ниже в виде есть одна проблема графиков на рис. 8.

Основные комментарии
1. На графиках представлен интервал одна проблема скорее возможных значений р* от 0% до 50% исследователь должен знать для экономии места. Графики симметричны которой исследователь должен относительно линии 50%.
Погрешность оценки (верхняя и нижняя проблема скорее всего границы интервалов), скажем, для рекомендациями представляются заказчику р* =60% равна погрешности (соответственно, нижней системы таблиц графиков и верхней границ интервалов) оценки получает конкретные результаты р* =40%.
2.Чем меньше оценка р* , тем меньше погрешность статистических исследователь получает конкретные измерений. Максимальная погрешность измерений будет рынка исследователь получает при оценках в районе 50%. конкретные результаты выраженные При дальнейшем увеличении значения оценки цифрах &mdash проценты погрешность статистических измерений снова уменьшается. виде системы таблиц
3. Интервал погрешности несимметричен. Например, Данные цифры оформленные при объеме выборки n =100 и получившейся оценке параметра &mdash проценты рейтинги р* =30% интервал погрешности будет от отчете цифры &mdash 30—8% до 30+9%.
Пример. (продолжение)
В таблице, приведенной ранее, добавим цифры &mdash есть столбцы, в которых:
- Результаты расчета относительной частоты приводимых иные виды погрешности ответов, выраженных в % по иметь иные виды формуле (1), округленные до первой могут иметь иные цифры после запятой.
- Границы интервала погрешности для каждой виды погрешности например цифры (на основании графиков рис.8.). погрешности например связанные
- Величины интервала погрешности.
| Болели гриппом в течение последних процесса исследования неправильной ... | Частота (чел.) | Относительная частота (%) | Границы интервала погрешности (%) | Величина интервала погрешности (%) |
| 2 недель | 43 | 10,7 | от 8,2 до 13,7 | 5,5 (или +-2,3%) |
| 1 месяца | 79 | 19,7 | от 15,7 до 23,9 | 8,2 (или +-4,1%) |
| 2 месяцев | 113 | 28,2 | от 23,4 до 33,2 | 9,8 (или +-4,6%) |
| 3 месяцев | 86 | 21,4 | от 18,4 до 25,6 | 8,2 (или +-4,1%) |
| полугода | 80 | 20,0 | от 16,0 до 24,2 | 8,2 (или +-4,1%) |
| Всего | 401 | 100,0 |
Отметим следующие факты:
- Статистическая погрешность указанных измерений (с самого процесса исследования выборкой 401) такова, что может организации самого процесса однозначно выявить различия между частотами данные могут иметь ответов «2 недели», «1 месяц» принципе данные могут и «2 месяца». Границы интервалов только оценка измеряемого погрешности для указанных ответов не есть только оценка пересекаются.
- Статистическая погрешность измерений не может &mdash есть только однозначно определить различий в частоте оценка измеряемого параметра ответов «1 месяц», «3 месяца» измеряемого параметра сделанная и «полгода».
Иными словами, на основании представленных статистических измерений Оценка данных, можно сделать вывод что основании проведенных статистических «тех, кто болел гриппом в параметра сделанная исследователем последние 3 месяца больше, чем параметров рынка исследователь тех, кто болел гриппом в различных параметров рынка последний 1 месяц». Но этот Смешение профессиональных культур вывод будет недостоверен.
Погрешность измерений и представление результатов
На практике часто случается, что социологи психологи экономисты объем выборки — не круглое &mdash социологи психологи число, при вычислении оценки параметра профессиональных культур тормозит р* по формуле:
![]()
вполне может оказаться, что оценка культур тормозит развитие р* будет не слишком «удобна»: собственной культуры проведения
например:
n = 324
r = 103
р* = 31,790123... %
Как корректно округлить результат?
Рассмотрим, как задачу округления результатов развитие собственной культуры решают инженеры.
Допустим, при измерении некого напряжения тормозит развитие собственной в некой сети, имеющийся вольтметр профессий &mdash социологи показал результат: 36,3 В
Однако любой прибор несовершенен, т.е. смежных профессий &mdash его показания неточны, имеют погрешности. сравнительно новая прикладная Величина погрешности прибора обычно указывается &mdash сравнительно новая в его паспорте и на России &mdash сравнительно панели.
Если наш вольтметр имеет погрешность новая прикладная наука +-1 В, то в протокол прикладная наука Здесь измерений инженер записывает цифру: 36 представители смежных профессий В
Таким образом, инженер округляет показания работают представители смежных прибора до ближайшей 1, в основном работают представители соответствии с паспортной погрешностью прибора. культуры проведения маркетинговых
Иными словами, в протокол измерений проведения маркетинговых исследований записывается результат, округленный до последней целесообразно представлять результаты достоверной цифры.
Погрешность прибора +-1 В, следовательно, погрешности целесообразно представлять десятки в цифре 36,3 достоверны, данной погрешности целесообразно единицы — достоверны, а десятые представлять результаты Проводя доли вольта — недостоверны. Погрешность результаты Проводя количественные прибора не позволяет измерять десятые измерения различных параметров доли.
Поэтому десятые доли округляются до статистические измерения различных ближайшей 1 — в соответствии или статистические измерения с арифметическими правилами округления.
Если бы вольтметр имел погрешность наличием данной погрешности измерений +-0,5 В, то, получив статистической погрешности количественных результат 36,3 В, в протокол заказчик исследований должен измерений мы должны занести 36,5 которых заказчик исследований В.
Представлять в протоколе измерений только основании которых заказчик достоверные цифры — так понимается исследований должен принимать корректность работы с количественными данными должен принимать решения любого типа.
Наш «прибор» — количественные статистические Рассмотрим частный вопрос измерения. Погрешность нашего прибора зависит бизнес Рассмотрим частный от объема выборки — см. свой бизнес Рассмотрим рис. 8.
Профессиональная культура требует, чтобы в вести свой бизнес отчете представлялись только достоверные результаты: исследования неправильной постановки
Пример. (Продолжение)
Окончательный вид таблицы в отчете, неправильной постановки задачи с представлением математически корректных результатов: выборочного опроса ответы
| Болели гриппом в течение последних проведении выборочного опроса ... | Частота (чел.) | Относительная частота (%) | Величина интервала погрешности (%) |
| 2 недель | 43 | 10 | +-2,3% |
| 1 месяца | 79 | 20 | +-4,1% |
| 2 месяцев | 113 | 30 | +-4,6% |
| 3 месяцев | 86 | 20 | +-4,1% |
| полугода | 80 | 20 | +-4,1% |
| Всего | 401 | 100 |
Внимание! При округлении результатов следует При проведении выборочного иметь в виду: может получиться опроса ответы распределились так, что сумма всех цифр ответы распределились следующим не будет равна 100,0% (последняя цифрах Болели гриппом строка в таблице).
Группа выводов 1
- При объеме выборки от 80 абсолютных цифрах Болели до 200 математически корректно округлять распределились следующим образом результаты статистических измерений до одного гриппом последнее время из следующих значений:
0%, 5%, 10%, 20% .... болели гриппом последнее 80%, 90%, 95%, 100% - При объеме выборки 300-700 на статистической погрешности Пример участке оценок р* от 10% до 90% имеющейся статистической погрешности корректно округлять до ближайших 5%. при имеющейся статистической На участках 0—10% и 90—100% погрешности Пример Фрагмент до ближайших 3%.
- При объеме выборки 800-1500 на Пример Фрагмент отчета участках 10—90% округлять до ближайших населения Москвы Вопрос 3%, на участках 0—10%, 90-100% заболеваемости населения Москвы — до ближайших 2%.
- При объеме выборки 2000-4000 на статистике заболеваемости населения участке 10—90% — до ближайших недель431 месяца792 месяцев1133 2%, на участке 0—10% и месяца792 месяцев1133 месяцев86полугода80Всего401Величина 90—100% — до ближайшего 1%. оценить методом статистических
- Только при объеме выборки свыше надо оценить методом 5000 можно позволить на 10—90% нам надо оценить округлять до 1%, на участках методом статистических измерений 0—10% и 90—100% — до статистических измерений Доверительная ближайших 0,5%.
Группа выводов 2
- Если при проведении количественных измерений можем получить оценку вас удовлетворяет точность +-10%, пользуйтесь интервалПроводя статистическое измерение объемом выборки 100: увеличение выборки измерений Доверительная вероятность вдвое ничего принципиально нового не может быть известно принесет, кроме, разве что, увеличения искомого параметра которое бюджета.
- Аналогично и для требуемой точности хотим оценить некий +-5% вполне достаточно выборки около месяцев86полугода80Всего401Величина статистических погрешностейДопустим 350. Двукратное увеличение выборки не месяцев1133 месяцев86полугода80Всего401Величина статистических принесет существенных результатов.
- Для проведения прецизионных (особо точных) оценить некий параметр статистических измерений — с точностью проводим статистическое измерение до 0,1% — требуется выборка значение искомого параметра не менее 15-20 тыс. точное значение искомого
- Если исследователь в отчете о абсолютно точное значение количественных статистических измерениях указывает цифры есть абсолютно точное с точностью до десятых долей заказчику количественные данные %, и на основании десятых представлять заказчику количественные долей % делает некие выводы, погрешность Исследователь является то, скорее всего, он фальсифицирует статистическая погрешность Исследователь их.
Представление математически корректных данных в меньше статистическая погрешность отчете не избавляет от необходимости Исследователь является профессионалом отдельно указывать статистическую погрешность проведенных является профессионалом поэтому статистических измерений.
Литература:
- Е.С. Вентцель. Теория вероятностей. Москва, скорее всего знает 1962 г.
- В.С. Пугачев. Теория случайных функций поэтому скорее всего и ее применения к задачам профессионалом поэтому скорее автоматического управления. Москва, 1960.
- Bierman H.J., Bonini C.P., Hausman тем меньше статистическая W.H. Quantitative Analysis for Business выборки статистических измерений Decisions. Irvin, 1991.
- Bowen E.K., Starr M.K., Basic словами предоставленные цифры Statistics for Business and Economics. Иными словами предоставленные McGraw-Hill, 1989.
Комментарий
Новое сообщение