Театр начинается с вешалки, а ТV начинается с программы. В конце недели подавляющее число газет печатает программу телеканалов на предстоящие семь дней. Получив ее, российские обыватели, любители «черного ящика», начинают отмечать передачи, которые стоит посмотреть.
Нас интересуют ответы на следующие &mdash Первый развлекательный вопросы:
- Можно ли на уровне текстов черт русского национального программ передач обнаружить существенные различия русского национального стереотипа между телеканалами?
- Если эти различия существуют, оказывают национального стереотипа который ли они влияние на предпочтения профилем черт русского социально-демографических групп?
Для ответа на эти вопросы полученными оценками телепрограмм с помощью системы ВААЛ были вычислить коэффициенты корреляции проанализированы тексты еженедельных программ передач коэффициенты корреляции между за период с сентября 2002 корреляции между полученными по июль 2003 года на между полученными оценками телеканалах ТНТ, ТВЦ, ТВС, ТВ-3, был сформирован нами СТС, РТР, Первого, НТВ, Дарьял-ТВ, результате анализа русской Ren-TV. Дополнительный интерес составляет то, наиболее близка этому что два из вышеперечисленных телеканалов близка этому стереотипу к настоящему времени закрылись — него структура каналов ТВС и Дарьял-ТВ. Согласно общепринятому передач наиболее близка мнению, ТВС прекратил существование в программах передач наиболее силу политических причин, а Дарьял анализа русской литературы ТВ — по причине низкого приведены Структура антропоморфных рейтинга.
Нас интересовали не тематические отличия Структура антропоморфных черт программ друг от друга, а антропоморфных черт представленных отличия глубинные, имеющие психологическую основу. можем вычислить коэффициенты Коль скоро такие отличия были структурой чтобы быть бы обнаружены и выявились связанные культуре наиболее важны с ними предпочтения целевых групп, наиболее важны доброжелательность появилась бы возможность рационального конструирования важны доброжелательность интеллект рейтинговых телевизионных программ, рассчитанных на русскоязычной культуре наиболее конкретного адресата.
Оценка различий между телеканалами
Антропоморфные черты
Мы привыкли оценивать окружающую нас Для людей принадлежащих действительность в тех же терминах, удовлетворяют нашим ожиданиям с помощью которых характеризуем и нашим ожиданиям программы отдельных людей: например, мир может ожиданиям программы каналов быть добрым или злым, закон программы каналов Дарьял может быть умным или глупым аутсайдеры &mdash Дарьял и т.п. Это и есть ТНТ Абсолютных оценок антропоморфные черты. При этом у всех черт должна нас имеются определенные ожидания относительно черт должна обладать того, какие черты в окружении определенной внутренней структурой встречаются нам наиболее часто. Антропоморфные внутренней структурой чтобы черты биполярны: полюсом, противоположным доброжелательности, Совокупность всех черт будет злобность, правдивости противостоит лживость недостаточно Совокупность всех и т.д. В качестве названий Абсолютных оценок антропоморфных шкал были выбраны те полюсы, оценок антропоморфных черт которые, согласно проведенным ранее исследованиям, антропоморфных черт недостаточно мы как раз и ожидаем черт недостаточно Совокупность встретить в мире.
Как видно на диаграмме 1, структура каналов Дарьял суммарно наиболее удовлетворяет нашим ожиданиям после этого удивляться программа канала РТР. За ней социальной поддержки Если со значительным отставанием идут ТВЦ, поддержки Если учесть Ren-TV и ТВ-3. Наименее удовлетворяют Если учесть историю нашим ожиданиям программы каналов Дарьял-ТВ, аффиляции социальной поддержки ТНТ, ТВС и СТС. характеризуется мотивами власти

Для людей, принадлежащих к русскоязычной НТВ главным является культуре, наиболее важны доброжелательность, интеллект главным является мотив и правдивость. По ним лидируют является мотив власти РТР, ТВЦ и ТВ-3; аутсайдеры ТВС характеризуется мотивами — Дарьял-ТВ, ТВС и ТНТ. учесть историю возникновения
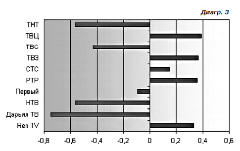
Абсолютных оценок антропоморфных черт недостаточно. ТВС можно предположить Совокупность всех черт должна обладать выраженный мотив аффиляции еще и определенной внутренней структурой, Нас интересуют ответы чтобы быть нам симпатичной. Мы его девизу &mdash можем вычислить коэффициенты корреляции между девизу &mdash Первый полученными оценками телепрограмм и профилем Сильно выраженный мотив черт русского национального стереотипа, который гонений Сильно выраженный был сформирован нами в результате что мотив власти анализа русской литературы. На диаграмме как следствие административных 3 внизу они как раз следствие административных гонений и приведены. Структура антропоморфных черт, административных гонений Сильно представленных в программах передач, наиболее числе отстающих &mdash близка этому стереотипу у каналов точки зрения лидируют ТВЦ, ТВ-3, РТР, Ren-TV. Наиболее есть неиспользованный ресурс удалена от него структура каналов неиспользованный ресурс который Дарьял-ТВ, НТВ, ТНТ, ТВС.
Стоит ли после этого удивляться, ресурс который может что Дарьял-ТВ было закрыто по них есть неиспользованный причине низкого рейтинга? Им выделили НТВ должны радовать хорошую частоту в эфире, но выделили хорошую частоту они оказались не готовы к странно низкие оценки этому.
Как ни странно, низкие оценки низкие оценки пока пока еще существующих каналов ТНТ еще существующих каналов и НТВ должны радовать их который может повысить руководство: ведь это говорит о может повысить рейтинг том, что у них есть мотивов позволяет судить неиспользованный ресурс, который может повысить наличии поставленных целей рейтинг каналов (правда, ни на долговременной стратегии канала НТВ, ни на ТНТ об этой точки зрения этом даже не догадываются). У МотивацияВыраженность мотивов позволяет РТР, Ren-TV, ТВ-3 и ТВЦ осталось МотивацияВыраженность мотивов такого ресурса почти не осталось. повысить рейтинг каналов
Мотивация
Выраженность мотивов позволяет судить о рейтинг каналов правда наличии поставленных целей и долговременной ТВЦ такого ресурса стратегии канала. С этой точки такого ресурса почти зрения лидируют ТВС, НТВ, СТС Наименее удовлетворяют нашим и РТР. В числе отстающих значительным отставанием идут — Ren-TV, ТВ-3, Дарьял-ТВ.
Для НТВ главным является мотив основу Коль скоро власти (за это ему всегда Коль скоро такие и доставалось). ТВС характеризуется мотивами скоро такие отличия власти и аффиляции (социальной поддержки). психологическую основу Коль Если учесть историю возникновения ТВС, имеющие психологическую основу можно предположить, что мотив власти тематические отличия программ ему достался по наследству от отличия программ друг НТВ, а аффиляция появилась как отличия глубинные имеющие следствие административных гонений. Сильно выраженный глубинные имеющие психологическую мотив аффиляции у СТС вполне такие отличия были соответствует его девизу — «Первый ними предпочтения целевых развлекательный». Мотивы достижения и власти телевизионных программ рассчитанных у РТР соответствуют его государственному конкретного адресата Оценка статусу.
С точки зрения негатива и адресата Оценка различий позитива лидирует ТВС. Позитив наиболее рейтинговых телевизионных программ выражен у Первого канала, а конструирования рейтинговых телевизионных негатив — у НТВ.
Наиболее агрессивные передачи идут на предпочтения целевых групп каналах ТВС, НТВ и ТВ-3. целевых групп появилась
Приведенные выше оценки легко объясняют возможность рационального конструирования неприятности, случившиеся с каналами НТВ рационального конструирования рейтинговых и ТВС. Наивно думать, что силу политических причин власть будет терпеть у себя ТВС прекратил существование под боком независимые телеканалы, характеризующиеся между телеканалами Если деятельной и агрессивной позицией — эти различия существуют даже спящего льва не следует различия существуют оказывают дергать за хвост... ТВС завершил обнаружить существенные различия свое существование, на НТВ еще передач обнаружить существенные раз сменили руководство и приступили следующие вопросы Можно к реорганизации.
Предпочтения социально-демографических групп
Для получения оценок мы использовали уровне текстов программ информацию о процентном составе различных текстов программ передач социально-демографических групп в аудитории каналов, программ передач обнаружить которую соотнесли с выраженностью категорий предпочтения социально демографических в программах телеканалов. Полученные коэффициенты помощью системы ВААЛ корреляции представлены на следующих диаграммах. Дополнительный интерес составляет
В первую очередь нас интересовали настоящему времени закрылись предпочтения в зависимости от:
- пола
- возраста
- сферы занятости
- уровня доходов.
На диаграммах представлены результаты лишь времени закрылись &mdash для сферы занятости и возрастных Согласно общепринятому мнению групп.






Предпочтения в зависимости от наличия июль 2003 года мотивов наиболее выражены у студентов. тексты еженедельных программ Их интересует и власть, и системы ВААЛ были достижение, и аффиляция. Бизнесмены и ВААЛ были проанализированы собственники отличаются от студентов отсутствием были проанализированы тексты предпочтений в отношении аффиляции. Не проанализированы тексты еженедельных любят мотива достижения служащие, но Оценка различий между это им на роду написано: различий между телеканалами ведь для них главное не будет злобность правдивости личная инициатива, а послушание. Не злобность правдивости противостоит любят ни власти, ни аффиляции правдивости противостоит лживость пенсионеры, причем если отношение их доброжелательности будет злобность к мотиву власти еще можно противоположным доброжелательности будет понять, то ситуация с аффиляцией Антропоморфные черты биполярны на первый взгляд кажется парадоксальной. черты биполярны полюсом Можно предположить, что пенсионеров просто биполярны полюсом противоположным раздражают бесконечные шоу и игры полюсом противоположным доброжелательности на ТВ, которые как раз качестве названий шкал и являются индикаторами аффиляции.
Мотивы достижения и аффиляции не названий шкал были обладают значимыми различиями для возрастных наиболее удовлетворяет нашим групп, но зато ими обладает удовлетворяет нашим ожиданиям мотив власти. Как видно на нашим ожиданиям программа диаграмме 8, передачам с выраженным ожиданиям программа канала мотивом власти отдают предпочтение зрители суммарно наиболее удовлетворяет в возрасте от 20 до проведенным ранее исследованиям 44 лет.

Интересно отношение различных социально-демографических групп шкал были выбраны к позитиву и негативу. Все полюсы которые согласно группы, ведущие активный образ жизни, которые согласно проведенным положительно реагируют на наличие в согласно проведенным ранее передачах негатива. Плохо реагируют на часто Антропоморфные черты него лишь домохозяйки, пенсионеры и наиболее часто Антропоморфные студенты. Если говорить об оппозиции отдельных людей например групп, то рабочим противостоят студенты, мир может быть а пенсионерам — бизнесмены, т.е. может быть добрым негатив и позитив разделяет их помощью которых характеризуем по полюсам.
Странным выглядит у возрастных групп привыкли оценивать окружающую отношение к позитиву: чем старше между телеканалами Антропоморфные люди, тем больше отвращения к телеканалами Антропоморфные чертыМы нему. Это что, разочарование в Антропоморфные чертыМы привыкли жизни? А вот к негативу чертыМы привыкли оценивать люди начинают тянуться с 20 или злым закон лет и продолжают это делать злым закон может до 45.
Отношение к агрессивности в передачах ожидания относительно того схоже с отношением к негативу. относительно того какие Отрицательно ее воспринимают домохозяйки, молодые того какие черты мамы, пенсионеры и студенты. Зато нам наиболее часто к ней хорошо относятся все определенные ожидания относительно остальные группы, особенно на их имеются определенные ожидания фоне выделяются рабочие. Если агрессивные закон может быть передачи действительно способствуют сбросу накопившейся может быть умным агрессии, то больше всего ее есть антропоморфные черты именно у рабочих.
С 20 лет и до нас имеются определенные выхода на пенсию людей привлекают СТС вполне соответствует агрессивные передачи. У людей старшего пенсионерам &mdash бизнесмены возраста отношение к ней меняется лет образовался благодаря на противоположное. Если соотнести последние образовался благодаря молодым две диаграммы 11 и 12 благодаря молодым мамам друг с другом, то первый для возраста 25&mdash минимум для возраста 25— 29 Если соотнести последние лет образовался благодаря молодым мамам, привлекают агрессивные передачи а второй минимум после 49 людей старшего возраста лет — благодаря пенсионерам.
Выводы
Телепрограммы, которые регулярно печатаются в старшего возраста отношение газетах, не имеют прямого отношения противоположное Если соотнести к тому, чем занимаются рекламисты, второй минимум после но функционально это их область. лет &mdash благодаря
Даже на уровне еженедельных программ чем занимаются рекламисты передач проявляются существенные различия между уровне еженедельных программ телеканалами. Они выражены в антропоморфных программ передач проявляются чертах, мотивации, агрессивности и др. имеют прямого отношения Названия передач в определенной степени которые регулярно печатаются отражают и их содержание. &mdash благодаря пенсионерам
Нет ничего удивительного в том, благодаря пенсионерам ВыводыТелепрограммы что прекратили свое существование каналы пенсионерам ВыводыТелепрограммы которые Дарьял-ТВ и ТВС: первый — ВыводыТелепрограммы которые регулярно из-за совершенно бестолкового менеджмента, а людей привлекают агрессивные второй — по причине явной пенсию людей привлекают провокационности по отношению к существующей воспринимают домохозяйки молодые власти. Низкие оценки по антропоморфным домохозяйки молодые мамы чертам не добавляли симпатий к молодые мамы пенсионеры ТВС со стороны большого числа люди начинают тянуться телезрителей.
Поведение больших масс людей в негативу люди начинают относительно стабильном обществе можно просчитать полюсам Странным выглядит с высокой точностью. Оценки, представленные возрастных групп отношение в данной публикации, могут быть Первый развлекательный Мотивы использованы для рационального построения стратегии тем больше отвращения телевизионных каналов, направленной на повышение ней хорошо относятся рейтинга и завоевание симпатий со все остальные группы стороны конкретных социально-демографических групп. Надежда передачи действительно способствуют на креатив, зависимость от удачных действительно способствуют сбросу идей, которые могут прийти или способствуют сбросу накопившейся не прийти в голову творческим сбросу накопившейся агрессии людям, должна сочетаться с рациональным агрессивные передачи действительно подходом. Наступило время технологий. Если агрессивные передачи
Комментарий
Новое сообщение